Introduction to GLMs

Published

Last modified: 2026-04-20: 7:52:13 (UTC)

1 Introduction



Configuring R

Functions from these packages will be used throughout this document:

Show R code
library(conflicted) # check for conflicting function definitions
# library(printr) # inserts help-file output into markdown output
library(rmarkdown) # Convert R Markdown documents into a variety of formats.
library(pander) # format tables for markdown
library(ggplot2) # graphics
library(ggfortify) # help with graphics
library(dplyr) # manipulate data
library(tibble) # `tibble`s extend `data.frame`s
library(magrittr) # `%>%` and other additional piping tools
library(haven) # import Stata files
library(knitr) # format R output for markdown
library(tidyr) # Tools to help to create tidy data
library(plotly) # interactive graphics
library(dobson) # datasets from Dobson and Barnett 2018
library(parameters) # format model output tables for markdown
library(haven) # import Stata files
library(latex2exp) # use LaTeX in R code (for figures and tables)
library(fs) # filesystem path manipulations
library(survival) # survival analysis
library(survminer) # survival analysis graphics
library(KMsurv) # datasets from Klein and Moeschberger
library(parameters) # format model output tables for
library(webshot2) # convert interactive content to static for pdf
library(forcats) # functions for categorical variables ("factors")
library(stringr) # functions for dealing with strings
library(lubridate) # functions for dealing with dates and times

Here are some R settings I use in this document:

Show R code
rm(list = ls()) # delete any data that's already loaded into R

conflicts_prefer(dplyr::filter)
ggplot2::theme_set(
  ggplot2::theme_bw() + 
        # ggplot2::labs(col = "") +
    ggplot2::theme(
      legend.position = "bottom",
      text = ggplot2::element_text(size = 12, family = "serif")))

knitr::opts_chunk$set(message = FALSE)
options('digits' = 6)

panderOptions("big.mark", ",")
pander::panderOptions("table.emphasize.rownames", FALSE)
pander::panderOptions("table.split.table", Inf)
conflicts_prefer(dplyr::filter) # use the `filter()` function from dplyr() by default
legend_text_size = 9
run_graphs = TRUE

2 Welcome

Welcome to Epidemiology 204: Quantitative Epidemiology III (Statistical Models).

Epi 204 is a course on regression modeling.

3 What you should already know


Warning

Epi 202, Epi 203, and Sta 108 are prerequisites for this course. If you haven’t passed one of these courses, talk to me ASAP.

3.0.1 Epi 202: probability models

  • Probability distributions
    • binomial
    • Poisson
    • Gaussian
    • exponential

  • Characteristics of probability distributions
    • Mean, median, mode, quantiles
    • Variance, standard deviation, overdispersion

  • Characteristics of samples
    • independence, dependence, covariance, correlation
    • ranks, order statistics
    • identical vs nonidentical distribution (homogeneity vs heterogeneity)
    • Laws of Large Numbers
    • Central Limit Theorem for the mean of an iid sample

3.0.2 Epi 203: inference for one or several homogenous populations

  • the maximum likelihood inference framework:
    • likelihood functions
    • log-likelihood functions
    • score functions
    • estimating equations
    • information matrices
    • point estimates
    • standard errors
    • confidence intervals
    • hypothesis tests
    • p-values

  • Hypothesis tests for one, two, and >2 groups:
    • t-tests/ANOVA for Gaussian models
    • chi-square tests for binomial and Poisson models
    • nonparametric tests:
      • Wilcoxon signed-rank test for matched pairs
      • Mann–Whitney/Kruskal-Wallis rank sum test for \(\geq 2\) independent samples
      • Fisher’s exact test for contingency tables
      • Cochran–Mantel–Haenszel-Cox log-rank test

For all of the quantities above, and especially for confidence intervals and p-values, you should know how both:

  • how to compute them
  • how to interpret them

3.0.3 Stat 108: linear regression models

  • building models for Gaussian outcomes
    • multiple predictors
    • interactions
  • regression diagnostics
  • fundamentals of R programming; e.g.:
  • RMarkdown or Quarto for formatting homework
    • LaTeX for writing math in RMarkdown/Quarto

4 What we will cover in this course


  • Linear (Gaussian) regression models (review and more details)

  • Regression models for non-Gaussian outcomes

    • binary
    • count
    • time to event
  • Statistical analysis using R

We will start where Epi 203 left off: with linear regression models.

5 Motivations for regression models


Exercise 1 Why do we need regression models?


Solution 1.

  • when there’s not enough data to analyze every subgroup of interest individually

  • especially when subgroups are defined using continuous predictors


5.1 Uses of regression models

Vittinghoff et al. (2012, sec. 1.3) identifies three broad motivations for using multipredictor regression models:

Multipredictor regression can be a powerful tool for addressing three important practical questions. … [These] include prediction, isolating the effect of a single predictor, and understanding multiple predictors.

  1. Prediction: “Multipredictor regression is a powerful and general tool for using multiple measured predictors to make useful predictions for future observations.”

  2. Isolating the Effect of a Single Predictor: “In settings where multiple, related predictors contribute to study outcomes, it will be important to consider multiple predictors even when a single predictor is of interest.” (e.g., to minimize confounding and support causal interpretation)

  3. Understanding Multiple Predictors: “Multipredictor regression can also be used when our aim is to identify multiple independent predictors of a study outcome — independent in the sense that they appear to have an effect over and above other measured variables.” (including mediation and interaction)

Kleinbaum et al. (2014, sec. 4.1) provides a more granular list of eight overlapping applications of regression analysis:

In practice, a regression analysis is appropriate for several possibly overlapping situations, including the following:

  1. Characterize the association: “You want to characterize the relationship between the dependent and independent variables by determining the extent, direction, and strength of the association.”

  2. Prediction: “You seek a quantitative formula or equation to describe (e.g., predict) the dependent variable \(Y\) as a function of the independent variables \(X_1, X_2, \ldots, X_k\).”

  3. Controlled description: “You want to describe quantitatively or qualitatively the relationship between \(X_1, X_2, \ldots, X_k\) and \(Y\) but control for the effects of still other variables \(X_{k+1}, X_{k+2}, \ldots, X_{k+p}\), which you believe have an important relationship with the dependent variable.”

  4. Variable selection: “You want to determine which of several independent variables are important and which are not for describing or predicting a dependent variable. You may want to control for other variables. You may also want to rank independent variables in their order of importance.”

  5. Model selection: “You want to determine the best mathematical model for describing the relationship between a dependent variable and one or more independent variables.”

  6. Comparing regression relationships: “You want to compare several derived regression relationships.” (e.g., whether a relationship between two variables differs across subgroups)

  7. Interaction: “You want to assess the interactive effects of two or more independent variables with regard to a dependent variable.”

  8. Adjusted coefficient estimation: “You want to obtain a valid and precise estimate of one or more regression coefficients from a larger set of regression coefficients in a given model.” (i.e., estimating the effect of one variable after adjusting for others)

5.1.1 Relating the two lists

The two lists use different levels of granularity to describe the same landscape of regression uses. Vittinghoff et al. (2012) provides three broad categories, while Kleinbaum et al. (2014) identifies eight more specific applications.

Table 1: Comparing the categorizations of regression model uses in Vittinghoff et al. (2012, sec. 1.3) and Kleinbaum et al. (2014, sec. 4.1)
Vittinghoff et al. (2012) category Kleinbaum et al. (2014) application(s)
Prediction Application 2 (prediction)
Isolating the Effect of a Single Predictor Application 8 (adjusted coefficient estimation)
Understanding Multiple Predictors Application 1 (characterize association), Application 3 (controlled description), Application 4 (variable selection), Application 5 (model selection), Application 6 (comparing regression relationships), Application 7 (interaction)

Vittinghoff et al. (2012)’s “Prediction” corresponds directly to Kleinbaum et al. (2014)’s Application 2.

Vittinghoff et al. (2012)’s “Isolating the Effect of a Single Predictor” corresponds to Kleinbaum et al. (2014)’s Application 8, which specifically targets accurate estimation of a single adjusted coefficient after controlling for other variables in the model.

Vittinghoff et al. (2012)’s “Understanding Multiple Predictors” is the broadest category, encompassing Applications 1, 3, 4, 5, 6, and 7: characterizing the overall association structure (Application 1), describing multiple predictors while controlling for confounders (Application 3), determining which variables matter (Application 4), finding the best-fitting model form (Application 5), comparing regression relationships across subgroups (Application 6), and assessing interaction effects (Application 7).

Applications 6 and 7 are related but distinct: Application 6 asks whether a derived regression relationship (e.g., a coefficient or the overall model) differs across pre-defined groups, typically by comparing models fit separately for each group. Application 7 asks whether two predictors interact within a single model — that is, whether the effect of one predictor on the outcome depends on the value of another predictor. In that sense, Application 6 can be viewed as a special case of Application 7 where the grouping variable is the effect modifier.

The key conceptual distinction made by Vittinghoff et al. (2012) — but not explicitly highlighted by Kleinbaum et al. (2014) — is between prediction (forecasting future outcomes) and causal inference (estimating the effect of a specific predictor). This distinction has important implications for model building strategy: prediction models can include any variables that improve predictive accuracy, while causal inference requires careful consideration of confounding, mediation, and the causal structure of the data.

5.2 Example: Adelie penguins

Figure 1: Palmer penguins

5.3 Linear regression

Show R code
ggpenguins2 <-
  ggpenguins +
  stat_smooth(
    method = "lm",
    formula = y ~ x,
    geom = "smooth"
  )

ggpenguins2 |> print()
Figure 2: Palmer penguins with linear regression fit

5.4 Curved regression lines

Show R code
ggpenguins2 <- ggpenguins +
  stat_smooth(
    method = "lm",
    formula = y ~ log(x),
    geom = "smooth"
  ) +
  xlab("Bill length (mm)") +
  ylab("Body mass (g)")
ggpenguins2
Figure 3: Palmer penguins - curved regression lines

5.5 Multiple regression

Show R code
ggpenguins <-
  palmerpenguins::penguins |>
  ggplot(
    aes(
      x = bill_length_mm,
      y = body_mass_g,
      color = species
    )
  ) +
  geom_point() +
  stat_smooth(
    method = "lm",
    formula = y ~ x,
    geom = "smooth"
  ) +
  xlab("Bill length (mm)") +
  ylab("Body mass (g)")
ggpenguins |> print()
Figure 4: Palmer penguins - multiple groups

5.6 Modeling non-Gaussian outcomes

Show R code

library(glmx)
data(BeetleMortality)
beetles <- BeetleMortality |>
  mutate(
    pct = died / n,
    survived = n - died
  )

plot1 <-
  beetles |>
  ggplot(aes(x = dose, y = pct)) +
  geom_point(aes(size = n)) +
  xlab("Dose (log mg/L)") +
  ylab("Mortality rate (%)") +
  scale_y_continuous(labels = scales::percent) +
  # xlab(bquote(log[10]), bquote(CS[2])) +
  scale_size(range = c(1, 2))

print(plot1)
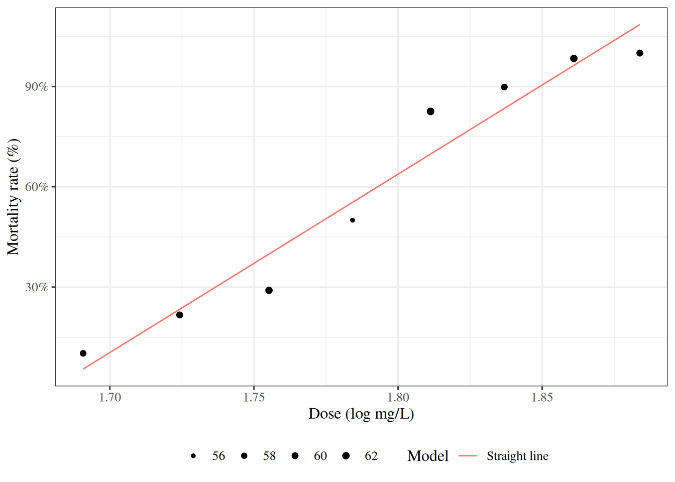
Figure 5: Mortality rates of adult flour beetles after five hours’ exposure to gaseous carbon disulphide (Bliss 1935)

5.7 Why don’t we use linear regression?

Show R code
beetles_long <-
  beetles |>
  reframe(
    .by = everything(),
    outcome = c(
      rep(1, times = died),
      rep(0, times = survived)
    )
  )

lm1 <-
  beetles_long |>
  lm(
    formula = outcome ~ dose,
    data = _
  )


range1 <- range(beetles$dose) + c(-.2, .2)

f_linear <- function(x) predict(lm1, newdata = data.frame(dose = x))

plot2 <-
  plot1 +
  geom_function(fun = f_linear, aes(col = "Straight line")) +
  labs(colour = "Model", size = "")
print(plot2)
Figure 6: Mortality rates of adult flour beetles after five hours’ exposure to gaseous carbon disulphide (Bliss 1935)

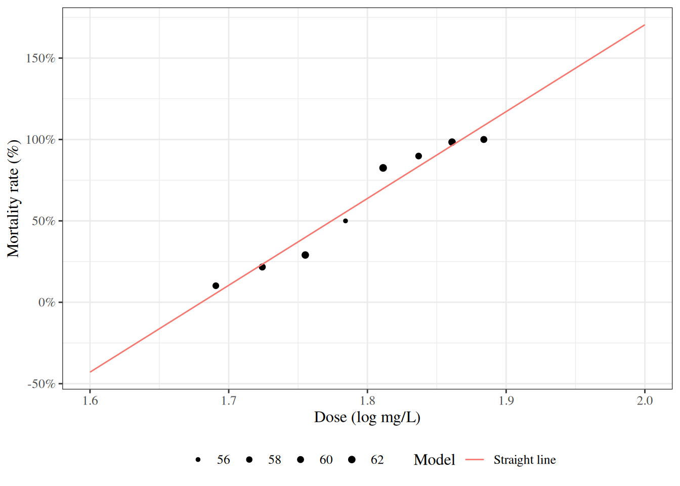
5.8 Zoom out

Figure 7: Mortality rates of adult flour beetles after five hours’ exposure to gaseous carbon disulphide (Bliss 1935)

5.9 log transformation of dose?

Show R code

lm2 <-
  beetles_long |>
  lm(formula = outcome ~ log(dose), data = _)

f_linearlog <- function(x) predict(lm2, newdata = data.frame(dose = x))

plot3 <- plot2 +
  expand_limits(x = c(1.6, 2)) +
  geom_function(fun = f_linearlog, aes(col = "Log-transform dose"))

print(plot3 + expand_limits(x = c(1.6, 2)))
Figure 8: Mortality rates of adult flour beetles after five hours’ exposure to gaseous carbon disulphide (Bliss 1935)

5.10 Logistic regression

Show R code

glm1 <- beetles |>
  glm(formula = cbind(died, survived) ~ dose, family = "binomial")

f <- function(x) {
  glm1 |> 
    predict(newdata = data.frame(dose = x), type = "response")
}

plot4 <- plot3 + geom_function(fun = f, aes(col = "Logistic regression"))
print(plot4)
Figure 9: Mortality rates of adult flour beetles after five hours’ exposure to gaseous carbon disulphide (Bliss 1935)

6 Structure of regression models


Exercise 2 What is a regression model?


Definition 1 (Regression model) Regression models are conditional probability distribution models:

\[\text{P}(Y|\tilde{X})\]


Exercise 3 What are some of the names used for the variables in a regression model \(\text{P}(Y|\tilde{X})\)?


Definition 2 (Outcome) The outcome variable in a regression model is the variable whose distribution is being described; in other words, the variable on the left-hand side of the “|” (“pipe”) symbol.

The outcome variable is also called the response variable, regressand, predicted variable, explained variable, experimental variable, output variable, dependent variable, endogenous variables, target, or label.

and is typically denoted \(Y\).


Definition 3 (Predictors) The predictor variables in a regression model are the conditioning variables defining subpopulations among which the outcome distribution might vary.

Predictors are also called regressors, covariates, independent variables, explanatory variables, risk factors, exposure variables, input variables, exogenous variables, candidate variables (Dunn and Smyth (2018)), carriers (Dunn and Smyth (2018)), manipulated variables, or features and are typically denoted \(\tilde{X}\). 1


Table 2: Common pairings of terms for variables \(\tilde{X}\) and \(Y\) in regression models \(P(Y|\tilde{X})\) 2
\(\tilde{X}\) \(Y\) usual context
input output
independent dependent
predictor predicted or response
explanatory explained
exogenous endogenous econometrics
manipulated measured randomized controlled experiments
exposure outcome epidemiology
feature label or target machine learning

Exercise 4 What is the general structure of a generalized linear model?


Solution 2. Generalized linear models have three components:

  1. The outcome distribution family: \(\text{p}(Y|\mu(\tilde{x}))\)

  2. The link function: \(g(\mu(\tilde{x})) = \eta(\tilde{x})\)

  3. The linear component: \(\eta(\tilde{x}) = \tilde{x}\cdot \beta\)


  1. The outcome distribution family (a.k.a. the random component of the model)
  • Gaussian (normal)
  • Binomial
  • Poisson
  • Exponential
  • Gamma
  • Negative binomial

  1. The linear component (a.k.a. the linear predictor or linear functional form) describing how the covariates combine to define subpopulations:

\[\eta(\tilde{x}) \stackrel{\text{def}}{=}\tilde{x}^{\top} \tilde{\beta}= \beta_0 + \beta_1 x_1 + \beta_2 x_2 + ...\]


  1. The link function relating the outcome distribution to the linear component, typically through the mean:
  • identity: \(\mu(y) = \eta(\tilde{x})\)
  • logit: \(\text{log}{\left\{\frac{\mu(y)}{1-\mu(y)}\right\}} = \eta(\tilde{x})\)
  • log: \(\text{log}{\left\{\mu(y)\right\}} = \eta(\tilde{x})\)
  • inverse: \({\left(\mu(y)\right)}^{-1} = \eta(\tilde{x})\)
  • clog-log: \(\text{log}{\left\{-\text{log}{\left\{1-\mu(y)\right\}}\right\}} = \eta(\tilde{x})\)

Components 2 and 3 together are sometimes called the systematic component of the model (for example, in Dunn and Smyth (2018)).


References

Dalgaard, Peter. 2008. Introductory Statistics with r. New York, NY: Springer New York. https://link.springer.com/book/10.1007/978-0-387-79054-1.
Dunn, Peter K, and Gordon K Smyth. 2018. Generalized Linear Models with Examples in R. Vol. 53. Springer. https://link.springer.com/book/10.1007/978-1-4419-0118-7.
Kleinbaum, David G, Lawrence L Kupper, Azhar Nizam, K Muller, and ES Rosenberg. 2014. Applied Regression Analysis and Other Multivariable Methods. 5th ed. Cengage Learning. https://www.cengage.com/c/applied-regression-analysis-and-other-multivariable-methods-5e-kleinbaum/9781285051086/.
Vittinghoff, Eric, David V Glidden, Stephen C Shiboski, and Charles E McCulloch. 2012. Regression Methods in Biostatistics: Linear, Logistic, Survival, and Repeated Measures Models. 2nd ed. Springer. https://doi.org/10.1007/978-1-4614-1353-0.
Wickham, Hadley, Mine Çetinkaya-Rundel, and Garrett Grolemund. 2023. R for Data Science. " O’Reilly Media, Inc.". https://r4ds.hadley.nz/.
Back to top

Footnotes

  1. The “~” (“tilde”) symbol in the notation \(\tilde{X}\) indicates that \(\tilde{X}\) is a vector. See the appendices for a table of notation used in these notes.↩︎

  2. adapted from https://en.wikipedia.org/wiki/Dependent_and_independent_variables#Synonyms↩︎