2  Linear (Gaussian) Models

Published

Last modified: 2026-01-09: 2:28:13 (AM)



Configuring R

Functions from these packages will be used throughout this document:

Show R code
library(conflicted) # check for conflicting function definitions
# library(printr) # inserts help-file output into markdown output
library(rmarkdown) # Convert R Markdown documents into a variety of formats.
library(pander) # format tables for markdown
library(ggplot2) # graphics
library(ggfortify) # help with graphics
library(dplyr) # manipulate data
library(tibble) # `tibble`s extend `data.frame`s
library(magrittr) # `%>%` and other additional piping tools
library(haven) # import Stata files
library(knitr) # format R output for markdown
library(tidyr) # Tools to help to create tidy data
library(plotly) # interactive graphics
library(dobson) # datasets from Dobson and Barnett 2018
library(parameters) # format model output tables for markdown
library(haven) # import Stata files
library(latex2exp) # use LaTeX in R code (for figures and tables)
library(fs) # filesystem path manipulations
library(survival) # survival analysis
library(survminer) # survival analysis graphics
library(KMsurv) # datasets from Klein and Moeschberger
library(parameters) # format model output tables for
library(webshot2) # convert interactive content to static for pdf
library(forcats) # functions for categorical variables ("factors")
library(stringr) # functions for dealing with strings
library(lubridate) # functions for dealing with dates and times

Here are some R settings I use in this document:

Show R code
rm(list = ls()) # delete any data that's already loaded into R

conflicts_prefer(dplyr::filter)
ggplot2::theme_set(
  ggplot2::theme_bw() + 
        # ggplot2::labs(col = "") +
    ggplot2::theme(
      legend.position = "bottom",
      text = ggplot2::element_text(size = 12, family = "serif")))

knitr::opts_chunk$set(message = FALSE)
options('digits' = 6)

panderOptions("big.mark", ",")
pander::panderOptions("table.emphasize.rownames", FALSE)
pander::panderOptions("table.split.table", Inf)
conflicts_prefer(dplyr::filter) # use the `filter()` function from dplyr() by default
legend_text_size = 9
run_graphs = TRUE
Show R code
include_reference_lines <- FALSE

Note

This content is adapted from:

  • Dobson and Barnett (2018), Chapters 2-6
  • Dunn and Smyth (2018), Chapters 2-3
  • Vittinghoff et al. (2012), Chapter 4

There are numerous textbooks specifically for linear regression, including:

  • Kutner et al. (2005): used for UCLA Biostatistics MS level linear models class
  • Chatterjee and Hadi (2015): used for Stanford MS-level linear models class
  • Seber and Lee (2012): used for UCLA Biostatistics PhD level linear models class and UC Davis STA 108.
  • Kleinbaum et al. (2014): same first author as Kleinbaum and Klein (2010) and Kleinbaum and Klein (2012)
  • Linear Models with R (Faraway 2025)
  • Applied Linear Regression by Sanford Weisberg (Weisberg 2005)

For more recommendations, see the discussion on Reddit.

2.1 Overview

2.1.1 Why this course includes linear regression

  • This course is about generalized linear models (for non-Gaussian outcomes)
  • UC Davis STA 108 (“Applied Statistical Methods: Regression Analysis”) is a prerequisite for this course, so everyone here should have some understanding of linear regression already.
  • We will review linear regression to:
  • make sure everyone is caught up
  • to provide an epidemiological perspective on model interpretation.

2.1.2 Chapter overview

  • Section 2.2: how to interpret linear regression models

  • Section 2.3: how to estimate linear regression models

  • Section 2.4: how to quantify uncertainty about our estimates

  • Section 2.8: how to tell if your model is insufficiently complex

2.2 Understanding Gaussian Linear Regression Models

2.2.1 Motivating example: birthweights and gestational age

Suppose we want to learn about the distributions of birthweights (outcome \(Y\)) for (human) babies born at different gestational ages (covariate \(A\)) and with different chromosomal sexes (covariate \(S\)) (Dobson and Barnett (2018) Example 2.2.2).

2.2.2 Dobson birthweight data

Show R code
library(dobson)
data("birthweight", package = "dobson")
birthweight
Table 2.1: birthweight data (Dobson and Barnett (2018) Example 2.2.2)
Show R code
library(tidyverse)
bw <-
  birthweight |>
  pivot_longer(
    cols = everything(),
    names_to = c("sex", ".value"),
    names_sep = "s "
  ) |>
  rename(age = `gestational age`) |>
  mutate(
    id = row_number(),
    sex = sex |>
      case_match(
        "boy" ~ "male",
        "girl" ~ "female"
      ) |>
      factor(levels = c("female", "male")),
    male = sex == "male",
    female = sex == "female"
  )

bw
Table 2.2: birthweight data reshaped
Show R code
plot1 <- bw |>
  ggplot(aes(
    x = age,
    y = weight,
    shape = sex,
    col = sex
  )) +
  theme_bw() +
  xlab("Gestational age (weeks)") +
  ylab("Birthweight (grams)") +
  theme(legend.position = "bottom") +
  # expand_limits(y = 0, x = 0) +
  geom_point(alpha = .7)
print(plot1 + facet_wrap(~sex))
Figure 2.1: birthweight data (Dobson and Barnett (2018) Example 2.2.2)

Data notation

Let’s define some notation to represent this data:

  • \(Y\): birthweight (measured in grams)
  • \(S\): chromosomal sex: “male” (XY) or “female” (XX)
  • \(M\): indicator variable for \(S\) = “male”2
  • \(M = 0\) if \(S\) = “female”
  • \(M = 1\) if \(S\) = “male”
  • \(F\): indicator variable for \(S\) = “female”3
  • \(F = 1\) if \(S\) = “female”
  • \(F = 0\) if \(S\) = “male”
  • \(A\): estimated gestational age at birth (measured in weeks).

Female is the reference level for the categorical variable \(S\) (chromosomal sex) and corresponding indicator variable \(M\) . The choice of a reference level is arbitrary and does not limit what we can do with the resulting model; it only makes it more computationally convenient to make inferences about comparisons involving that reference group.

\(M\) and \(F\) are called dummy variables; together, they are a numeric representation of the categorical variable \(S\). Dummy variables with values 0 and 1 are also called indicator variables. There are other ways to construct dummy variables, such as using the values -1 and 1 (see Dobson and Barnett (2018) §2.4 for details).

2.2.3 Parallel lines regression

(c.f. Dunn and Smyth (2018) §2.10.3)

We don’t have enough data to model the distribution of birth weight separately for each combination of gestational age and sex, so let’s instead consider a (relatively) simple model for how that distribution varies with gestational age and sex:

\[ \begin{aligned} Y|M,A &\ \sim_{\text{ciid}}\ N(\mu(M,A), \sigma^2)\\ \mu(m,a) &= \beta_0 + \beta_M m + \beta_A a \end{aligned} \tag{2.1}\]

Table 2.3 shows the parameter estimates from R. Figure 2.2 shows the estimated model, superimposed on the data.

Show R code
bw_lm1 <- lm(
  formula = weight ~ sex + age,
  data = bw
)

library(parameters)
bw_lm1 |>
  parameters::parameters() |>
  parameters::print_md(
    include_reference = include_reference_lines,
    select = "{estimate}"
  )
Table 2.3: Regression parameter estimates for Model 2.1 of birthweight data
Parameter Coefficient
(Intercept) -1773.32
sex (male) 163.04
age 120.89
Show R code
bw <-
  bw |>
  mutate(`E[Y|X=x]` = fitted(bw_lm1)) |>
  arrange(sex, age)

plot2 <-
  plot1 %+% bw +
  geom_line(aes(y = `E[Y|X=x]`))

print(plot2)
Figure 2.2: Graph of Model 2.1 for birthweight data


Model assumptions and predictions

To learn what this model is assuming, let’s plug in a few values.


Exercise 2.1 What’s the mean birthweight for a female born at 36 weeks?

Estimated coefficients for model 2.1
Parameter Coefficient
(Intercept) -1773.32
sex (male) 163.04
age 120.89

Solution.  

Estimated coefficients for model 2.1
Parameter Coefficient
(Intercept) -1773.32
sex (male) 163.04
age 120.89
Show R code
pred_female <- coef(bw_lm1)["(Intercept)"] + coef(bw_lm1)["age"] * 36
### or using built-in prediction:
pred_female_alt <- predict(bw_lm1, newdata = tibble(sex = "female", age = 36))

\[ \begin{aligned} E[Y|M = 0, A = 36] &= \beta_0 + {\left(\beta_M \cdot 0\right)}+ {\left(\beta_A \cdot 36\right)} \\ &= -1773.321839 + {\left(163.039303 \cdot 0\right)} + {\left(120.894327 \cdot 36\right)} \\ &= 2578.873934 \end{aligned} \]


Exercise 2.2 What’s the mean birthweight for a male born at 36 weeks?

Estimated coefficients for model 2.1
Parameter Coefficient
(Intercept) -1773.32
sex (male) 163.04
age 120.89

Solution.  

Estimated coefficients for model 2.1
Parameter Coefficient
(Intercept) -1773.32
sex (male) 163.04
age 120.89
Show R code
pred_male <-
  coef(bw_lm1)["(Intercept)"] +
  coef(bw_lm1)["sexmale"] +
  coef(bw_lm1)["age"] * 36

\[ \begin{aligned} E[Y|M = 1, A = 36] &= \beta_0 + \beta_M \cdot 1+ \beta_A \cdot 36 \\ &= 2741.913237 \end{aligned} \]


Exercise 2.3 What’s the difference in mean birthweights between males born at 36 weeks and females born at 36 weeks?

Show R code
coef(bw_lm1)
#> (Intercept)     sexmale         age 
#>   -1773.322     163.039     120.894

Solution. \[ \begin{aligned} & E[Y|M = 1, A = 36] - E[Y|M = 0, A = 36]\\ &= 2741.913237 - 2578.873934\\ &= 163.039303 \end{aligned} \]

Shortcut:

\[ \begin{aligned} & E[Y|M = 1, A = 36] - E[Y|M = 0, A = 36]\\ &= (\beta_0 + \beta_M \cdot 1+ \beta_A \cdot 36) - (\beta_0 + \beta_M \cdot 0+ \beta_A \cdot 36) \\ &= \beta_M \\ &= 163.039303 \end{aligned} \]

Age cancels out in this difference. In other words, according to this model, the difference between females and males with the same gestational age is the same for every age.

This characteristic is an assumption of the model specified by Equation 2.1. It’s hardwired into the parametric model structure, even before we estimated values for those parameters.


Coefficient Interpretation

Recall Model 2.1:

\[ E[Y|M=m,A=a] = \mu(m,a) = \beta_0 + \beta_M m + \beta_A a \]

Slope (of the mean with respect to age) for males: \[ \begin{aligned} \frac{d}{da}\mu(1,a) &= \frac{d}{da}(\beta_0 + \beta_M 1 + \beta_A a)\\ &= \left(\frac{d}{da}\beta_0 + \frac{d}{da}\beta_M 1 + \frac{d}{da}\beta_A a\right)\\ &= (0 + 0 + \beta_A) \\ &= \beta_A \end{aligned} \]

Slope for females:

\[ \begin{aligned} \frac{d}{da}\mu(0,a) &= \frac{d}{da}(\beta_0 + \beta_M 0 + \beta_A a)\\ &= \left(\frac{d}{da}\beta_0 + \frac{d}{da}\beta_M 0 + \frac{d}{da}\beta_A a\right)\\ &= (0 + 0 + \beta_A) \\ &= \beta_A \end{aligned} \]


Exercise 2.4 What is the interpretation of \(\beta_A\) in Model 2.1?


Solution. \[ \begin{aligned} \frac{d}{da}\mu(m,a) &= \frac{d}{da}(\beta_0 + \beta_M m + {\color{red}\beta_A} a)\\ &= \left(\frac{d}{da}\beta_0 + \frac{d}{da}\beta_M m + \frac{d}{da}{\color{red}\beta_A} a\right)\\ &= (0 + 0 + {\color{red}\beta_A}) \\ &= {\color{red}\beta_A} \end{aligned} \]

Conclusion:

\[\beta_A = \frac{d}{da}\mu(m,a)\]

\(\beta_A\) is the slope of mean birthweight with respect to gestational age, adjusting for sex.

Or we can plug in the definition of slope:

\[\beta_A = E[Y|M = m, A = a+1] - E[Y|M = m, A = a]\]

Exchangeability and consistency have not been assessed; so we are not discussing potential outcomes (causality), only observed outcomes.


Exercise 2.5 What is the interpretation of \(\beta_M\) in Model 2.1?


Solution.

More precisely written: \[ \text{E}{\left[Y|M=m,A=a\right]} = \mu(m,a) = \bigg\{ \begin{matrix} \beta_0 + \beta_M m +\beta_A a, & \text{for } m\in {\left\{0,1\right\}} \\ \text{undefined}, & \text{for } m \notin {\left\{0,1\right\}} \end{matrix} \] The model is undefined for \(m \notin {\left\{0,1\right\}}\), so the derivative with respect to \(m\) doesn’t exist.

\[ \begin{aligned} E[Y|M = 1,A = a] &= \beta_0 + {\color{red}\beta_M} 1 + \beta_A a \\ & = \beta_0 + {\color{red}\beta_M} + \beta_A a \\ E[Y|M = 0,A = a] &= \beta_0 + {\color{red}\beta_M} 0 + \beta_A a \\ & = \beta_0 + \beta_A a \end{aligned} \] So: \[ \begin{aligned} E[Y|M = 1,A = a] - E[Y|M = 0,A = a] &= (\beta_0 + {\color{red}\beta_M} + \beta_A a) - (\beta_0 + \beta_A a) \\ &= {\color{red}\beta_M} \end{aligned} \] Therefore: \[ \begin{aligned} \beta_M &= E[Y|M = 1,A = a] - E[Y|M = 0,A = a]\\ & =\mu(1,a) - \mu(0,a)\\ \end{aligned} \]

In words: \(\beta_M\) is the difference in mean birthweight between males and females adjusting for age.


Exercise 2.6 \(\beta_0 = ?\)


Solution. \[ \begin{aligned} \text{E}{\left[Y|M = 0,A = 0\right]} &= \mu(0,0)\\ &= {\color{red}\beta_0} + \beta_M 0 + \beta_A 0\\ &= {\color{red}\beta_0}\\ {\color{red}\beta_0} &= \text{E}{\left[Y|M = 0,A = 0\right]} = \mu(0,0) \end{aligned} \]

\(\beta_0\) is the mean birthweight for a female with gestational age 0 weeks.

2.2.4 Interactions

What if we don’t like that parallel lines assumption?

Then we need to allow an “interaction” between age \(A\) and sex \(S\):

\[E[Y|S=s,A=a] = \beta_0 + \beta_A a+ \beta_M m + \beta_{AM} (a \cdot m) \tag{2.2}\]

Now, the slope of mean birthweight \(E[Y|A,S]\) with respect to gestational age \(A\) depends on the value of sex \(S\).

Show R code
bw_lm2 <- lm(weight ~ sex + age + sex:age, data = bw)
bw_lm2 |>
  parameters() |>
  parameters::print_md(
    include_reference = include_reference_lines,
    select = "{estimate}"
  )
Table 2.4: Birthweight model with interaction term
Parameter Coefficient
(Intercept) -2141.67
sex (male) 872.99
age 130.40
sex (male) × age -18.42
Show R code
bw <-
  bw |>
  mutate(
    predlm2 = predict(bw_lm2)
  ) |>
  arrange(sex, age)

plot1_interact <-
  plot1 %+% bw +
  geom_line(aes(y = predlm2))

print(plot1_interact)
Figure 2.3: Birthweight model with interaction term

Now we can see that the lines aren’t parallel.


Here’s another way we could rewrite this model (by collecting terms involving \(S\)):

\[ E[Y|M,A] = \beta_0 + \beta_M M+ (\beta_A + \beta_{AM} M) A \]

If you want to understand a coefficient in a model with interactions, collect terms for the corresponding variable, and you will see which other covariates interact with the variable whose coefficient you are interested in. In this case, the association between \(A\) (age) varies between males and females (that is, by sex \(S\)). 4 So the slope of \(Y\) with respect to \(A\) depends on the value of \(M\). According to this model, there is no such thing as “the slope of birthweight with respect to age”. There are two slopes, one for each sex. We can only talk about “the slope of birthweight with respect to age among males” and “the slope of birthweight with respect to age among females”. Then: each non-interaction slope coefficient is the difference in means per unit difference in its corresponding variable, when all interacting variables are set to 0.


To learn what this model is assuming, let’s plug in a few values.

Exercise 2.7 According to this model, what’s the mean birthweight for a female born at 36 weeks?

Parameter Coefficient
(Intercept) -2141.67
sex (male) 872.99
age 130.40
sex (male) × age -18.42

Solution.  

Parameter Coefficient
(Intercept) -2141.67
sex (male) 872.99
age 130.40
sex (male) × age -18.42
Show R code
pred_female <- coef(bw_lm2)["(Intercept)"] + coef(bw_lm2)["age"] * 36

\[ E[Y|M = 0, X_2 = 36] = \beta_0 + \beta_M \cdot 0+ \beta_A \cdot 36 + \beta_{AM} \cdot (0 * 36) = 2552.733333 \]


Exercise 2.8 What’s the mean birthweight for a male born at 36 weeks?

Parameter Coefficient
(Intercept) -2141.67
sex (male) 872.99
age 130.40
sex (male) × age -18.42

Solution.  

Parameter Coefficient
(Intercept) -2141.67
sex (male) 872.99
age 130.40
sex (male) × age -18.42
Show R code
pred_male <-
  coef(bw_lm2)["(Intercept)"] +
  coef(bw_lm2)["sexmale"] +
  coef(bw_lm2)["age"] * 36 +
  coef(bw_lm2)["sexmale:age"] * 36

\[ \begin{aligned} E[Y|M = 1, X_2 = 36] &= \beta_0 + \beta_M \cdot 1+ \beta_A \cdot 36 + \beta_{AM} \cdot 1 \cdot 36\\ &= 2762.706897 \end{aligned} \]


Exercise 2.9 What’s the difference in mean birthweights between males born at 36 weeks and females born at 36 weeks?


Solution. \[ \begin{aligned} & E[Y|M = 1, A = 36] - E[Y|M = 0, A = 36]\\ &= (\beta_0 + \beta_M \cdot 1+ \beta_A \cdot 36 + \beta_{AM} \cdot 1 \cdot 36)\\ &\ \ \ \ \ -(\beta_0 + \beta_M \cdot 0+ \beta_A \cdot 36 + \beta_{AM} \cdot 0 \cdot 36) \\ &= \beta_{S} + \beta_{AM}\cdot 36\\ &= 209.973563 \end{aligned} \]

Note that age now does show up in the difference: in other words, according to this model, the difference in mean birthweights between females and males with the same gestational age can vary by gestational age.

That’s how the lines in the graph ended up non-parallel.


Coefficient Interpretation

Exercise 2.10 What is the interpretation of \(\beta_{M}\) in Model 2.2?


Solution.  

Mean birthweight among males with gestational age 0 weeks: \[ \begin{aligned} \mu(1,0) &= \text{E}{\left[Y|M = 1,A = 0\right]}\\ &= \beta_0 + {\color{red}\beta_M} \cdot 1 + \beta_A \cdot 0 + \beta_{AM}\cdot 1 \cdot 0\\ &= \beta_0 + {\color{red}\beta_M} \end{aligned} \] Mean birthweight among females with gestational age 0 weeks: \[ \begin{aligned} \mu(0,0) &= \text{E}{\left[Y|M = 0,A = 0\right]}\\ &= \beta_0 + {\color{red}\beta_M} \cdot 0 + \beta_A \cdot 0 + \beta_{AM}\cdot 0 \cdot 0\\ &= \beta_0 \end{aligned} \]

\[ \begin{aligned} \beta_{M} &= \mu(1,0) - \mu(0,0) \\ &= \text{E}{\left[Y|M = 1,A = 0\right]} - \text{E}{\left[Y|M = 0,A = 0\right]} \end{aligned} \] \(\beta_M\) is the difference in mean birthweight between males with gestational age 0 weeks and females with gestational age 0 weeks.


Exercise 2.11 What is the interpretation of \(\beta_{AM}\) in Model 2.2?


Solution.  

Slope among males: \[ \begin{aligned} \frac{\partial}{\partial a}\mu(1,a) &= \frac{\partial}{\partial a}\left(\beta_0 + \beta_M\cdot1 + \beta_A\cdot a + {\color{red}\beta_{AM}}\cdot 1 \cdot a\right)\\ &= \frac{\partial}{\partial a}\left(\beta_0 + \beta_M + \beta_A\cdot a + {\color{red}\beta_{AM}} \cdot a\right)\\ &= \beta_A + {\color{red}\beta_{AM}} \end{aligned} \] or \[ \begin{aligned} E[Y|1,a+1] - E[Y|1,a] = &\beta_0 + \beta_M 1 + \beta_A(a+1) + {\color{red}\beta_{AM}}1(a+1)\\ &- (\beta_0 + \beta_M 1 + \beta_A(a) + {\color{red}\beta_{AM}}1(a))\\ = &\beta_A + {\color{red}\beta_{AM}} \end{aligned} \]

Slope among females: \[ \begin{aligned} \frac{\partial}{\partial a}\mu(0,a) &= \frac{\partial}{\partial a}\left(\beta_0 + \beta_M\cdot0 + \beta_A\cdot a + {\color{red}\beta_{AM}}\cdot 0 \cdot a\right)\\ &= \frac{\partial}{\partial a}\left(\beta_0 + \beta_A\cdot a\right)\\ &= \beta_A \\ \end{aligned} \] or \[ \begin{aligned} E[Y|0,a+1] - E[Y|0,a] = &\beta_0 + \beta_M0 + \beta_A(a+1) + {\color{red}\beta_{AM}}0(a+1) \\ &- (\beta_0 + \beta_M 0 + \beta_A(a) + {\color{red}\beta_{AM}}0(a))\\ = &\beta_0 + \beta_A(a+1) - (\beta_0 + \beta_A(a))\\ = &\beta_A \end{aligned} \]

Difference in slopes: \[ \begin{aligned} \frac{\partial}{\partial a}\mu(1,a) - \frac{\partial}{\partial a}\mu(0,a) &= \beta_A + {\color{red}\beta_{AM}} - \beta_A\\ &= {\color{red}\beta_{AM}} \end{aligned} \] or \[ \begin{aligned} (E[Y|1,a+1] - E[Y|1,a]) - (E[Y|0,a+1] - E[Y|0,a]) &= \beta_A + {\color{red}\beta_{AM}} - \beta_A\\ &= {\color{red}\beta_{AM}} \end{aligned} \]

Therefore \[ \begin{aligned} \beta_{AM} = &\frac{\partial}{\partial a}\mu(1,a) - \frac{\partial}{\partial a}\mu(0,a)\\ = &(E[Y|M = 1,A = a+1] - E[Y|M = 1,A = a])\\ &- (E[Y|M = 0,A = a+1] - E[Y|M = 0,A = a]) \end{aligned} \]

\(\beta_{AM}\) is the difference in slope of mean birthweight with respect to gestational age between males and females.


Compare coefficient interpretations

Table 2.5: Coefficient interpretations, by model structure
\(\mu(m,a)\) \(\beta_0 + \beta_M m + \beta_A a\) \(\beta_0 + \beta_M m + \beta_A a + {\color{red}\beta_{AM} ma}\)
\(\beta_0\) \(\mu(0,0)\) \(\mu(0,0)\)
\(\beta_A\) \(\frac{\partial}{\partial a}\mu({\color{blue}m},a)\) \(\frac{\partial}{\partial a}\mu({\color{red}0},a)\)
\(\beta_M\) \(\mu(1, {\color{blue}a}) - \mu(0, {\color{blue}a})\) \(\mu(1, {\color{red}0}) - \mu(0,{\color{red}0})\)
\(\beta_{AM}\) \(\frac{\partial}{\partial a}\mu(1,a) - \frac{\partial}{\partial a}\mu(0,a)\)

In the model with an interaction term multiplying \(A\times M\), the interpretation of \(\beta_A\) involves the reference level of \(M\), and interpretation of \(\beta_M\) involves the reference level of \(A\) (Table 2.5).

2.2.5 Stratified regression

We could re-write the interaction model as a stratified model, with a slope and intercept for each sex:

\[ \text{E}{\left[Y|A=a, S=s\right]} = \beta_M m + \beta_{AM} (a \cdot m) + \beta_F f + \beta_{AF} (a \cdot f) \tag{2.3}\]

Compare this stratified model (Equation 2.3) with our interaction model, Equation 2.2:

\[ \text{E}{\left[Y|A=a, S=s\right]} = \beta_0 + \beta_A a + \beta_M m + \beta_{AM} (a \cdot m) \]

In the stratified model, the intercept term \(\beta_0\) has been relabeled as \(\beta_F\).

Show R code
bw_lm2 <- lm(weight ~ sex + age + sex:age, data = bw)
bw_lm2 |>
  parameters() |>
  print_md(
    include_reference = include_reference_lines,
    select = "{estimate}"
  )
Table 2.6: Birthweight model with interaction term
Parameter Coefficient
(Intercept) -2141.67
sex (male) 872.99
age 130.40
sex (male) × age -18.42
Show R code
bw_lm_strat <-
  bw |>
  lm(
    formula = weight ~ sex + sex:age - 1,
    data = _
  )

bw_lm_strat |>
  parameters() |>
  print_md(
    select = "{estimate}"
  )
Table 2.7: Birthweight model - stratified betas
Parameter Coefficient
sex (female) -2141.67
sex (male) -1268.67
sex (female) × age 130.40
sex (male) × age 111.98

2.2.6 Curved-line regression

If we transform some of our covariates (\(X\)s) and plot the resulting model on the original covariate scale, we end up with curved regression lines:

Show R code
bw_lm3 <- lm(weight ~ sex:log(age) - 1, data = bw)

ggbw <-
  bw |>
  ggplot(
    aes(x = age, y = weight)
  ) +
  geom_point() +
  xlab("Gestational Age (weeks)") +
  ylab("Birth Weight (g)")

ggbw2 <- ggbw +
  stat_smooth(
    method = "lm",
    formula = y ~ log(x),
    geom = "smooth"
  ) +
  xlab("Gestational Age (weeks)") +
  ylab("Birth Weight (g)")


ggbw2 |> print()
Figure 2.4: birthweight model with age entering on log scale

Below is an example with a slightly more obvious curve.

Show R code
library(palmerpenguins)

ggpenguins <-
  palmerpenguins::penguins |>
  dplyr::filter(species == "Adelie") |>
  ggplot(
    aes(x = bill_length_mm, y = body_mass_g)
  ) +
  geom_point() +
  xlab("Bill length (mm)") +
  ylab("Body mass (g)")

ggpenguins2 <- ggpenguins +
  stat_smooth(
    method = "lm",
    formula = y ~ log(x),
    geom = "smooth"
  ) +
  xlab("Bill length (mm)") +
  ylab("Body mass (g)")


ggpenguins2 |> print()
Figure 2.5: palmerpenguins model with bill_length entering on log scale

2.3 Estimating Linear Models via Maximum Likelihood

In EPI 203 and our review of MLEs, we learned how to fit outcome-only models of the form \(p(X=x|\theta)\) to iid data \(\tilde{x}= (x_1,…,x_n)\) using maximum likelihood estimation.

Now, we apply the same procedure to linear regression models:


2.3.1 Likelihood

\[ \begin{aligned} \mathscr{L}_i &\stackrel{\text{def}}{=}p(Y_i=y_i|\tilde{X}_i = \tilde{x}_i) \\ &= (2\pi\sigma^2)^{-1/2} \text{exp}{\left\{-\frac{1}{2\sigma^2}\varepsilon_i^2\right\}} \\ \varepsilon_i &\stackrel{\text{def}}{=}y_i - \mu_i \\ \mu_i &\stackrel{\text{def}}{=}\mu(x_i) \\ &= x_i \cdot \beta \end{aligned} \]


\[ \begin{aligned} \mathscr{L}&\stackrel{\text{def}}{=}\mathscr{L}(\tilde{y}|\mathbf{x}, \tilde{\beta}, \sigma^2) \\ &\stackrel{\text{def}}{=}\text{p}(\tilde{Y}=\tilde{y}| \mathbf{X}= \mathbf{x}) \\ &= \prod_{i=1}^n \mathscr{L}_i \end{aligned} \tag{2.4}\]


2.3.2 Log-likelihood

\[ \begin{aligned} \ell_i &\stackrel{\text{def}}{=}\text{log}{\left\{\mathscr{L}_i\right\}} \\ &= \text{log}{\left\{(2\pi\sigma^2)^{-1/2} \text{exp}{\left\{-\frac{1}{2\sigma^2}\varepsilon_i^2\right\}}\right\}} \\ &= -\frac{1}{2}\text{log}{\left\{2\pi\sigma^2\right\}} -\frac{1}{2\sigma^2}\varepsilon_i^2 \end{aligned} \]


\[ \begin{aligned} \ell &\stackrel{\text{def}}{=}\ell(\tilde{y}|\mathbf{x},\beta, \sigma^2) \\ &\stackrel{\text{def}}{=}\text{log}{\left\{\mathscr{L}(\tilde{y}|\mathbf{x},\beta, \sigma^2)\right\}} \\ &= \text{log}{\left\{\prod_{i=1}^n\mathscr{L}_i\right\}} \\ &= \sum_{i=1}^n\text{log}{\left\{\mathscr{L}_i\right\}} \\ &= \sum_{i=1}^n\ell_i \\ &= \sum_{i=1}^n{\left(-\frac{1}{2}\text{log}{\left\{2\pi\sigma^2\right\}} -\frac{1}{2\sigma^2}\varepsilon_i^2\right)} \\ &= -\frac{n}{2}\text{log}{\left\{2\pi\sigma^2\right\}} - \frac{1}{2\sigma^2}\sum_{i=1}^n \varepsilon_i^2 \\ &= -\frac{n}{2}\text{log}{\left\{2\pi\sigma^2\right\}} - \frac{1}{2\sigma^2}{\left(\tilde{\varepsilon}\cdot \tilde{\varepsilon}\right)} \\ &= -\frac{n}{2}\text{log}{\left\{2\pi\sigma^2\right\}} - \frac{1}{2\sigma^2}{\left((\tilde{y}- \tilde{\mu}) \cdot (\tilde{y}- \tilde{\mu})\right)} \\ &= -\frac{n}{2}\text{log}{\left\{2\pi\sigma^2\right\}} - \frac{1}{2\sigma^2}{\left((\tilde{y}- \mathbf{X}\tilde{\beta}) \cdot (\tilde{y}- \mathbf{X}\tilde{\beta})\right)} \\ &= -\frac{n}{2}\text{log}{\left\{2\pi\sigma^2\right\}} - \frac{1}{2\sigma^2}\sum_{i=1}^n {\left(y_i - {\left(\tilde{x}_i\cdot \tilde{\beta}\right)}\right)}^2 \end{aligned} \tag{2.5}\]

2.3.3 Score function

\[ \begin{aligned} \mu_i' &\stackrel{\text{def}}{=}\frac{\partial}{\partial \tilde{\beta}} \mu_i \\ &= \frac{\partial}{\partial \tilde{\beta}} {\left(\tilde{x}_i \cdot \tilde{\beta}\right)} \\ &= {\left( \frac{\partial}{\partial \tilde{\beta}} \tilde{\beta}\right)} \tilde{x}_i \\ &= \mathbb{I}\tilde{x}_i \\ &= \tilde{x}_i \end{aligned} \]


\[ \begin{aligned} \varepsilon'_i &\stackrel{\text{def}}{=}\frac{\partial}{\partial \tilde{\beta}}\varepsilon_i \\ &= \frac{\partial}{\partial \tilde{\beta}} (y_i - \mu_i) \\ &= \frac{\partial}{\partial \tilde{\beta}}y_i - \frac{\partial}{\partial \tilde{\beta}} \mu_i \\ &= 0 - \tilde{x}_i \\ &= - \tilde{x}_i \end{aligned} \]


\[ \begin{aligned} \ell'_i &\stackrel{\text{def}}{=}\frac{\partial}{\partial \tilde{\beta}}\ell_i \\ &= \frac{\partial}{\partial \tilde{\beta}} {\left(-\frac{1}{2}\text{log}{\left\{2\pi\sigma^2\right\}} -\frac{1}{2\sigma^2}\varepsilon_i^2\right)} \\ &= \frac{\partial}{\partial \tilde{\beta}}{\left(-\frac{1}{2}\text{log}{\left\{2\pi\sigma^2\right\}}\right)} - \frac{\partial}{\partial \tilde{\beta}}\frac{1}{2\sigma^2}\varepsilon_i^2 \\ &= 0 - \frac{1}{2\sigma^2}\frac{\partial}{\partial \tilde{\beta}}\varepsilon_i^2 \\ &= - \frac{1}{2\sigma^2}2 {\left(\varepsilon_i'\right)} \varepsilon_i \\ &= - \frac{1}{\sigma^2} {\left(- \tilde{x}_i \varepsilon_i\right)} \\ &= \frac{1}{\sigma^2} \tilde{x}_i \varepsilon_i \end{aligned} \]


\[ \begin{aligned} \ell'_{\tilde{\beta}} &\stackrel{\text{def}}{=}\frac{\partial}{\partial \tilde{\beta}}\ell_{\tilde{\beta}} \\ &= \frac{\partial}{\partial \tilde{\beta}} \sum_{i=1}^n\ell_i \\ &= \sum_{i=1}^n\frac{\partial}{\partial \tilde{\beta}} \ell_i \\ &= \sum_{i=1}^n\ell_i' \\ &= \sum_{i=1}^n\frac{1}{\sigma^2} \tilde{x}_i \varepsilon_i \\ &= \frac{1}{\sigma^2} \sum_{i=1}^n\tilde{x}_i \varepsilon_i \\ &= \frac{1}{\sigma^2} \mathbf{X}^{\top} \tilde{\varepsilon} \end{aligned} \]


2.3.4 Hessian

\[ \begin{aligned} \ell_i'' &\stackrel{\text{def}}{=}\frac{\partial}{\partial \tilde{\beta}^{\top}}\frac{\partial}{\partial \tilde{\beta}} \ell_i \\ &= \frac{\partial}{\partial \tilde{\beta}^{\top}} \ell_i' \\ &= \frac{\partial}{\partial \tilde{\beta}^{\top}} {\left(\frac{1}{\sigma^2} \tilde{x}_i \varepsilon_i\right)} \\ &= \frac{1}{\sigma^2} \tilde{x}_i \varepsilon_i'^{\top} \\ &= \frac{1}{\sigma^2} \tilde{x}_i (-\tilde{x}_i^{\top}) \\ &= -\frac{1}{\sigma^2} \tilde{x}_i \tilde{x}_i^{\top} \end{aligned} \]


\[ \begin{aligned} \ell'' &\stackrel{\text{def}}{=}\frac{\partial}{\partial \tilde{\beta}^{\top}}\frac{\partial}{\partial \tilde{\beta}} \ell \\ &= \frac{\partial}{\partial \tilde{\beta}^{\top}} \ell' \\ &= \frac{\partial}{\partial \tilde{\beta}^{\top}} \sum_{i=1}^n\ell_i' \\ &= \sum_{i=1}^n\frac{\partial}{\partial \tilde{\beta}^{\top}} \ell_i' \\ &= \sum_{i=1}^n\ell_i'' \\ &= \sum_{i=1}^n-\frac{1}{\sigma^2} \tilde{x}_i \tilde{x}_i^{\top} \\ &= -\frac{1}{\sigma^2} \sum_{i=1}^n\tilde{x}_i \tilde{x}_i^{\top} \\ &= -\frac{1}{\sigma^2} \mathbf{X}^{\top}\mathbf{X} \end{aligned} \] That is,

\[\ell''= -\frac{1}{\sigma^2} \sum_{i=1}^n\tilde{x}_i \tilde{x}_i^{\top} \tag{2.6}\]


2.3.5 Alternative approach using matrix derivatives

\[ \begin{aligned} \ell'_{\tilde{\beta}}(\tilde{y}|\mathbf{x}, \tilde{\beta}, \sigma^2) &\stackrel{\text{def}}{=}\frac{\partial}{\partial \tilde{\beta}}\ell_{\tilde{\beta}}(\tilde{y}|\mathbf{x}, \tilde{\beta}, \sigma^2) \\ &= - \frac{1}{2\sigma^2}\frac{\partial}{\partial \tilde{\beta}} {\left(\sum_{i=1}^n {\left(y_i - {\left(\tilde{x}_i\cdot \tilde{\beta}\right)}\right)}^2\right)} \end{aligned} \tag{2.7}\]


Let’s switch to matrix-vector notation:

\[ \sum_{i=1}^n (y_i - \tilde{x}_i^{\top} \tilde{\beta})^2 = (\tilde{y}- \mathbf{X}\tilde{\beta}) \cdot (\tilde{y}- \mathbf{X}\tilde{\beta}) \]


So

\[ \begin{aligned} (\tilde{y}- \mathbf{X}\tilde{\beta})'(\tilde{y}- \mathbf{X}\tilde{\beta}) &= (\tilde{y}' - \tilde{\beta}'X')(\tilde{y}- \mathbf{X}\tilde{\beta}) \\ &= \tilde{y}'\tilde{y}- \tilde{\beta}'X'\tilde{y}- \tilde{y}'\mathbf{X}\tilde{\beta}+\tilde{\beta}'\mathbf{X}'\mathbf{X}\beta \\ &= \tilde{y}'\tilde{y}- 2\tilde{y}'\mathbf{X}\beta +\beta'\mathbf{X}'\mathbf{X}\beta \end{aligned} \]


We will use some results from vector calculus:

\[ \begin{aligned} \frac{\partial}{\partial \tilde{\beta}}{\left(\sum_{i=1}^n (y_i - x_i' \beta)^2\right)} &= \frac{\partial}{\partial \tilde{\beta}}(\tilde{y}- X\beta)'(\tilde{y}- X\beta) \\ &= \frac{\partial}{\partial \tilde{\beta}} (y'y - 2y'X\beta +\beta'\mathbf{X}'\mathbf{X}\beta) \\ &= (- 2X'y +2\mathbf{X}'\mathbf{X}\beta) \\ &= - 2X'(y - X\beta) \\ &= - 2X'(y - \text{E}[y]) \\ &= - 2X' \varepsilon(y) \end{aligned} \tag{2.8}\]


So if \(\ell'(\beta,\sigma^2) = 0\), then

\[ \begin{aligned} 0 &= (- 2X'y +2\mathbf{X}'\mathbf{X}\beta)\\ 2X'y &= 2\mathbf{X}'\mathbf{X}\beta\\ X'y &= \mathbf{X}'\mathbf{X}\beta\\ (\mathbf{X}'\mathbf{X})^{-1}X'y &= \beta \end{aligned} \]


Hessian

The Hessian (second derivative matrix) is:

\[ \begin{aligned} \ell_{\beta, \beta'} ''(\beta, \sigma^2;\tilde{y}, \mathbf{X}) &= -\frac{1}{2\sigma^2}\mathbf{X}'\mathbf{X} \end{aligned} \]

\(\ell_{\beta, \beta'} ''(\beta, \sigma^2;\mathbf X,\tilde{y})\) is negative definite at \(\beta = (\mathbf{X}'\mathbf{X})^{-1}X'y\), so \(\hat \beta_{ML} = (\mathbf{X}'\mathbf{X})^{-1}X'y\) is the MLE for \(\beta\).


Similarly (not shown):

\[ \hat\sigma^2_{ML} = \frac{1}{n} (Y-X\hat\beta)'(Y-X\hat\beta) \]

And

\[ \begin{aligned} \mathcal I_{\beta} &= E[-\ell_{\beta, \beta'} ''(Y|X,\beta, \sigma^2)]\\ &= \frac{1}{\sigma^2}\mathbf{X}'\mathbf{X} \end{aligned} \]


So:

\[ Var(\hat \beta) \approx (\mathcal I_{\beta})^{-1} = \sigma^2 (\mathbf{X}'\mathbf{X})^{-1} \]

and

\[ \hat\beta \dot \sim N(\beta, \mathcal I_{\beta}^{-1}) \]

These are all results you have hopefully seen before.


In the Gaussian linear regression case, we also have exact results:

\[ \frac{\hat\beta_j}{\widehat{\text{se}}{\left(\hat\beta_j\right)}} \ \sim \ t_{n-p} \]


Example 2.1 (MLEs for birthweight data) In model 2.2 above, \(\hat{\mathcal{I}}(\beta)\) is:

Show R code
bw_lm2 |> vcov()
#>             (Intercept)  sexmale        age sexmale:age
#> (Intercept)     1353968 -1353968 -34870.966   34870.966
#> sexmale        -1353968  2596387  34870.966  -67210.974
#> age              -34871    34871    899.896    -899.896
#> sexmale:age       34871   -67211   -899.896    1743.548
Table 2.8: Covariance matrix of \(\hat{\tilde{\beta}}\) for birthweight model 2.2 (with interaction term)

If we take the square roots of the diagonals, we get the standard errors listed in the model output:

Show R code
bw_lm2 |>
  vcov() |>
  diag() |>
  sqrt()
#> (Intercept)     sexmale         age sexmale:age 
#>   1163.6015   1611.3309     29.9983     41.7558
Show R code
bw_lm2 |>
  parameters() |>
  print_md()
Table 2.9: Estimated model for birthweight data with interaction term
Parameter Coefficient SE 95% CI t(20) p
(Intercept) -2141.67 1163.60 (-4568.90, 285.56) -1.84 0.081
sex (male) 872.99 1611.33 (-2488.18, 4234.17) 0.54 0.594
age 130.40 30.00 (67.82, 192.98) 4.35 < .001
sex (male) × age -18.42 41.76 (-105.52, 68.68) -0.44 0.664

So we can do confidence intervals, hypothesis tests, and p-values exactly as in the one-variable case we looked at previously.

2.3.6 Residual Standard Deviation

\(\hat \sigma\) represents an estimate of the Residual Standard Deviation parameter, \(\sigma\). We can extract \(\hat \sigma\) from the fitted model, using the sigma() function:

Show R code
sigma(bw_lm2)
#> [1] 180.613

\(\sigma\) is NOT “Residual standard error”

In the summary.lm() output, this estimate is labeled as "Residual standard error":

Show R code
summary(bw_lm2)
#> 
#> Call:
#> lm(formula = weight ~ sex + age + sex:age, data = bw)
#> 
#> Residuals:
#>    Min     1Q Median     3Q    Max 
#> -246.7 -138.1  -39.1  176.6  274.3 
#> 
#> Coefficients:
#>             Estimate Std. Error t value Pr(>|t|)    
#> (Intercept)  -2141.7     1163.6   -1.84  0.08057 .  
#> sexmale        873.0     1611.3    0.54  0.59395    
#> age            130.4       30.0    4.35  0.00031 ***
#> sexmale:age    -18.4       41.8   -0.44  0.66389    
#> ---
#> Signif. codes:  0 '***' 0.001 '**' 0.01 '*' 0.05 '.' 0.1 ' ' 1
#> 
#> Residual standard error: 181 on 20 degrees of freedom
#> Multiple R-squared:  0.643,  Adjusted R-squared:  0.59 
#> F-statistic:   12 on 3 and 20 DF,  p-value: 0.000101

However, this is a misnomer: see note in ?stats::sigma

2.4 Inference about Gaussian Linear Regression Models

2.4.1 Motivating example: birthweight data

Research question: is there really an interaction between sex and age?

\(H_0: \beta_{AM} = 0\)

\(H_A: \beta_{AM} \neq 0\)

\(P(|\hat\beta_{AM}| > |-18.417241| \mid H_0)\) = ?

2.4.2 Wald tests and CIs

R can give you Wald tests for single coefficients and corresponding CIs:

Show R code
bw_lm2 |>
  parameters() |>
  print_md(
    include_reference = TRUE
  )
Parameter Coefficient SE 95% CI t(20) p
(Intercept) -2141.67 1163.60 (-4568.90, 285.56) -1.84 0.081
sex (female) 0.00
sex (male) 872.99 1611.33 (-2488.18, 4234.17) 0.54 0.594
age 130.40 30.00 (67.82, 192.98) 4.35 < .001
sex (male) × age -18.42 41.76 (-105.52, 68.68) -0.44 0.664

To understand what’s happening, let’s replicate these results by hand for the interaction term.

2.4.3 P-values

Show R code
bw_lm2 |>
  parameters(keep = "sexmale:age") |>
  print_md(
    include_reference = TRUE
  )
Parameter Coefficient SE 95% CI t(20) p
sex (male) × age -18.42 41.76 (-105.52, 68.68) -0.44 0.664
Show R code
beta_hat <- coef(summary(bw_lm2))["sexmale:age", "Estimate"]
se_hat <- coef(summary(bw_lm2))["sexmale:age", "Std. Error"]
dfresid <- bw_lm2$df.residual
t_stat <- abs(beta_hat) / se_hat
pval_t <-
  pt(-t_stat, df = dfresid, lower.tail = TRUE) +
  pt(t_stat, df = dfresid, lower.tail = FALSE)

\[ \begin{aligned} &P{\left( | \hat \beta_{AM} | > | -18.417241| \middle| H_0 \right)} \\ &= \Pr {\left( \left| \frac{\hat\beta_{AM}}{\hat{SE}(\hat\beta_{AM})} \right| > \left| \frac{-18.417241}{41.755817} \right| \middle| H_0 \right)}\\ &= \Pr {\left( \left| T_{20} \right| > 0.44107 | H_0 \right)}\\ &= 0.663893 \end{aligned} \]

This matches the result in the table above.

2.4.4 Confidence intervals

Show R code
bw_lm2 |>
  parameters(keep = "sexmale:age") |>
  print_md(
    include_reference = TRUE
  )
Parameter Coefficient SE 95% CI t(20) p
sex (male) × age -18.42 41.76 (-105.52, 68.68) -0.44 0.664
Show R code
q_t <- qt(
  p = 0.975,
  df = dfresid,
  lower.tail = TRUE
)

q_t <- qt(
  p = 0.025,
  df = dfresid,
  lower.tail = TRUE
)


confint_radius_t <-
  se_hat * q_t

confint_t <- beta_hat + c(-1, 1) * confint_radius_t

print(confint_t)
#> [1]   68.6839 -105.5184

This also matches.

2.4.5 Gaussian approximations

Here are the asymptotic (Gaussian approximation) equivalents:

2.4.6 P-values

Show R code
bw_lm2 |>
  parameters(keep = "sexmale:age") |>
  print_md(
    include_reference = TRUE
  )
Parameter Coefficient SE 95% CI t(20) p
sex (male) × age -18.42 41.76 (-105.52, 68.68) -0.44 0.664
Show R code
pval_z <- pnorm(abs(t_stat), lower = FALSE) * 2

print(pval_z)
#> [1] 0.659162

2.4.7 Confidence intervals

Show R code
bw_lm2 |>
  parameters(keep = "sexmale:age") |>
  print_md(
    include_reference = TRUE
  )
Parameter Coefficient SE 95% CI t(20) p
sex (male) × age -18.42 41.76 (-105.52, 68.68) -0.44 0.664
Show R code
confint_radius_z <- se_hat * qnorm(0.975, lower = TRUE)
confint_z <-
  beta_hat + c(-1, 1) * confint_radius_z
print(confint_z)
#> [1] -100.2571   63.4227

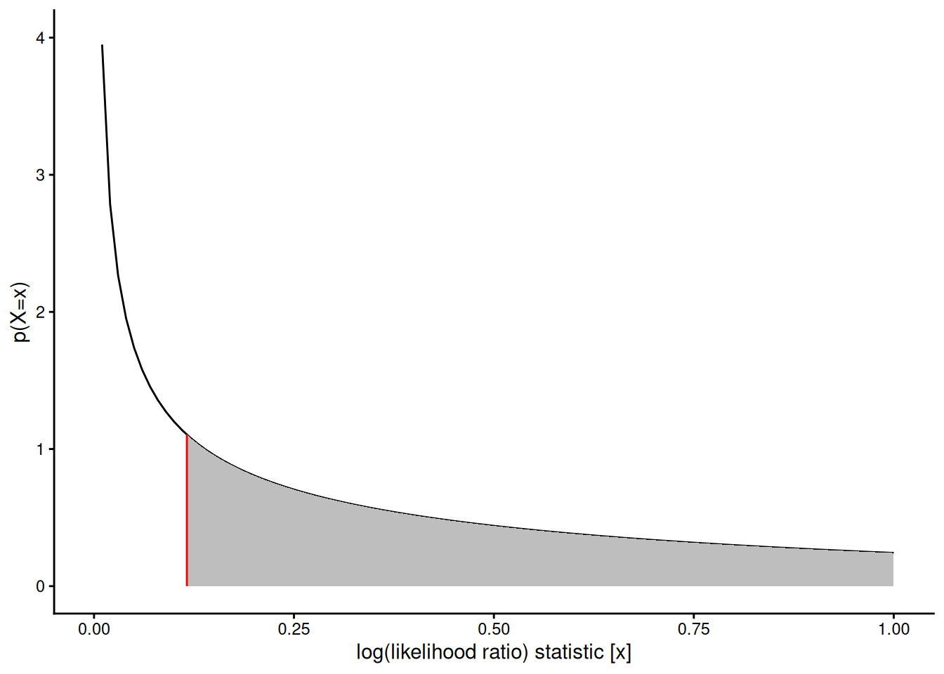
2.4.8 Likelihood ratio statistics

Show R code
logLik(bw_lm2)
#> 'log Lik.' -156.579 (df=5)
logLik(bw_lm1)
#> 'log Lik.' -156.695 (df=4)

log_LR <- (logLik(bw_lm2) - logLik(bw_lm1)) |> as.numeric()
delta_df <- (bw_lm1$df.residual - df.residual(bw_lm2))


x_max <- 1

Show R code
d_log_LR <- function(x, df = delta_df) dchisq(x, df = df)

chisq_plot <-
  ggplot() +
  geom_function(fun = d_log_LR) +
  stat_function(
    fun = d_log_LR,
    xlim = c(log_LR, x_max),
    geom = "area",
    fill = "gray"
  ) +
  geom_segment(
    aes(
      x = log_LR,
      xend = log_LR,
      y = 0,
      yend = d_log_LR(log_LR)
    ),
    col = "red"
  ) +
  xlim(0.0001, x_max) +
  ylim(0, 4) +
  ylab("p(X=x)") +
  xlab("log(likelihood ratio) statistic [x]") +
  theme_classic()
chisq_plot |> print()
Figure 2.6: Chi-square distribution

Now we can get the p-value:

Show R code
pchisq(
  q = 2 * log_LR,
  df = delta_df,
  lower = FALSE
) |>
  print()
#> [1] 0.629806

In practice you don’t have to do this by hand; there are functions to do it for you:

Show R code
# built in
library(lmtest)
lrtest(bw_lm2, bw_lm1)

2.5 Goodness of fit

2.5.1 AIC and BIC

When we use likelihood ratio tests, we are comparing how well different models fit the data.

Likelihood ratio tests require “nested” models: one must be a special case of the other.

If we have non-nested models, we can instead use the Akaike Information Criterion (AIC) or Bayesian Information Criterion (BIC):

  • AIC = \(-2 * \ell(\hat\theta) + 2 * p\)

  • BIC = \(-2 * \ell(\hat\theta) + p * \text{log}(n)\)

where \(\ell\) is the log-likelihood of the data evaluated using the parameter estimates \(\hat\theta\), \(p\) is the number of estimated parameters in the model (including \(\hat\sigma^2\)), and \(n\) is the number of observations.

You can calculate these criteria using the logLik() function, or use the built-in R functions:

AIC in R

Show R code
-2 * logLik(bw_lm2) |> as.numeric() +
  2 * (length(coef(bw_lm2)) + 1) # sigma counts as a parameter here
#> [1] 323.159

AIC(bw_lm2)
#> [1] 323.159

BIC in R

Show R code
-2 * logLik(bw_lm2) |> as.numeric() +
  (length(coef(bw_lm2)) + 1) * log(nobs(bw_lm2))
#> [1] 329.049

BIC(bw_lm2)
#> [1] 329.049

Large values of AIC and BIC are worse than small values. There are no hypothesis tests or p-values associated with these criteria.

2.5.2 (Residual) Deviance

Let \(q\) be the number of distinct covariate combinations in a data set.

Show R code
bw_X_unique <-
  bw |>
  count(sex, age)

n_unique_bw <- nrow(bw_X_unique)

For example, in the birthweight data, there are \(q = 12\) unique patterns (Table 2.10).

Show R code
bw_X_unique
Table 2.10: Unique covariate combinations in the birthweight data, with replicate counts

Definition 2.1 (Replicates) If a given covariate pattern has more than one observation in a dataset, those observations are called replicates.


Example 2.2 (Replicates in the birthweight data) In the birthweight dataset, there are 2 replicates of the combination “female, age 36” (Table 2.10).


Exercise 2.12 (Replicates in the birthweight data) Which covariate pattern(s) in the birthweight data has the most replicates?


Solution 2.1 (Replicates in the birthweight data). Two covariate patterns are tied for most replicates: males at age 40 weeks and females at age 40 weeks. 40 weeks is the usual length for human pregnancy (Polin, Fox, and Abman (2011)), so this result makes sense.

Show R code
bw_X_unique |> dplyr::filter(n == max(n))

Saturated models

The most complicated model we could fit would have one parameter (a mean) for each covariate pattern, plus a variance parameter:

Show R code
lm_max <-
  bw |>
  mutate(age = factor(age)) |>
  lm(
    formula = weight ~ sex:age - 1,
    data = _
  )

lm_max |>
  parameters() |>
  print_md()
Table 2.11: Saturated model for the birthweight data
Parameter Coefficient SE 95% CI t(12) p
sex (male) × age35 2925.00 187.92 (2515.55, 3334.45) 15.56 < .001
sex (female) × age36 2570.50 132.88 (2280.98, 2860.02) 19.34 < .001
sex (male) × age36 2625.00 187.92 (2215.55, 3034.45) 13.97 < .001
sex (female) × age37 2539.00 187.92 (2129.55, 2948.45) 13.51 < .001
sex (male) × age37 2737.50 132.88 (2447.98, 3027.02) 20.60 < .001
sex (female) × age38 2872.50 132.88 (2582.98, 3162.02) 21.62 < .001
sex (male) × age38 2982.00 108.50 (2745.60, 3218.40) 27.48 < .001
sex (female) × age39 2846.00 132.88 (2556.48, 3135.52) 21.42 < .001
sex (female) × age40 3152.25 93.96 (2947.52, 3356.98) 33.55 < .001
sex (male) × age40 3256.25 93.96 (3051.52, 3460.98) 34.66 < .001
sex (male) × age41 3292.00 187.92 (2882.55, 3701.45) 17.52 < .001
sex (female) × age42 3210.00 187.92 (2800.55, 3619.45) 17.08 < .001

We call this model the full, maximal, or saturated model for this dataset.


Show R code
library(rlang) # defines the `.data` pronoun
plot_PIs_and_CIs <- function(model, data) {
  cis <- model |>
    predict(interval = "confidence") |>
    suppressWarnings() |>
    tibble::as_tibble()
  names(cis) <- paste("ci", names(cis), sep = "_")

  preds <- model |>
    predict(interval = "predict") |>
    suppressWarnings() |>
    tibble::as_tibble()
  names(preds) <- paste("pred", names(preds), sep = "_")
  dplyr::bind_cols(bw, cis, preds) |>
    ggplot2::ggplot() +
    ggplot2::aes(
      x = .data$age, 
      y = .data$weight, 
      col = .data$sex
    ) +
    ggplot2::geom_point() +
    ggplot2::theme(legend.position = "bottom") +
    ggplot2::geom_line(ggplot2::aes(y = .data$ci_fit)) +
    ggplot2::geom_ribbon(
      ggplot2::aes(
        ymin = .data$pred_lwr,
        ymax = .data$pred_upr
      ),
      alpha = 0.2
    ) +
    ggplot2::geom_ribbon(
      ggplot2::aes(
        ymin = .data$ci_lwr,
        ymax = .data$ci_upr
      ),
      alpha = 0.5
    ) +
    ggplot2::facet_wrap(~sex)
}
Figure 2.7: Model 2.2 and saturated model for birthweight data, with confidence and prediction intervals
Show R code
plot_PIs_and_CIs(bw_lm2, bw)
(a) Model 2.2 (linear with age:sex interaction)

Show R code
plot_PIs_and_CIs(lm_max, bw)
(b) Saturated model


We can calculate the log-likelihood of this model as usual:

Show R code
logLik(lm_max)
#> 'log Lik.' -151.402 (df=13)

We can compare this model to our other models using chi-square tests, as usual:

Show R code
lrtest(lm_max, bw_lm2)

The likelihood ratio statistic for this test is \[\lambda = 2 * (\ell_{\text{full}} - \ell) = 10.355374\] where:

  • \(\ell_{\text{full}}\) is the log-likelihood of the full model: -151.401601
  • \(\ell\) is the log-likelihood of our comparison model (two slopes, two intercepts): -156.579288

This statistic is called the deviance or residual deviance for our two-slopes and two-intercepts model; it tells us how much the likelihood of that model deviates from the likelihood of the maximal model.

The corresponding p-value tells us whether there we have enough evidence to detect that our two-slopes, two-intercepts model is a worse fit for the data than the maximal model; in other words, it tells us if there’s evidence that we missed any important patterns. (Remember, a nonsignificant p-value could mean that we didn’t miss anything and a more complicated model is unnecessary, or it could mean we just don’t have enough data to tell the difference between these models.)

2.5.3 Null Deviance

Similarly, the least complicated model we could fit would have only one mean parameter, an intercept:

\[\text E[Y|X=x] = \beta_0\] We can fit this model in R like so:

Show R code
lm0 <- lm(weight ~ 1, data = bw)

lm0 |>
  parameters() |>
  print_md()
Parameter Coefficient SE 95% CI t(23) p
(Intercept) 2967.67 57.58 (2848.56, 3086.77) 51.54 < .001

Show R code
lm0 |> plot_PIs_and_CIs()
Figure 2.8: Null model for birthweight data, with 95% confidence and prediction intervals.


This model also has a likelihood:

Show R code
logLik(lm0)
#> 'log Lik.' -168.955 (df=2)

And we can compare it to more complicated models using a likelihood ratio test:

Show R code
lrtest(bw_lm2, lm0)

The likelihood ratio statistic for the test comparing the null model to the maximal model is \[\lambda = 2 * (\ell_{\text{full}} - \ell_{0}) = 35.106732\] where:

  • \(\ell_{\text{0}}\) is the log-likelihood of the null model: -168.954967
  • \(\ell_{\text{full}}\) is the log-likelihood of the maximal model: -151.401601

In R, this test is:

Show R code
lrtest(lm_max, lm0)

This log-likelihood ratio statistic is called the null deviance. It tells us whether we have enough data to detect a difference between the null and full models.

2.6 Rescaling

2.6.1 Rescale age

Show R code
bw <-
  bw |>
  mutate(
    `age - mean` = age - mean(age),
    `age - 36wks` = age - 36
  )

lm1_c <- lm(weight ~ sex + `age - 36wks`, data = bw)

lm2_c <- lm(weight ~ sex + `age - 36wks` + sex:`age - 36wks`, data = bw)

parameters(lm2_c, ci_method = "wald") |> print_md()
Parameter Coefficient SE 95% CI t(20) p
(Intercept) 2552.73 97.59 (2349.16, 2756.30) 26.16 < .001
sex (male) 209.97 129.75 (-60.68, 480.63) 1.62 0.121
age - 36wks 130.40 30.00 (67.82, 192.98) 4.35 < .001
sex (male) × age - 36wks -18.42 41.76 (-105.52, 68.68) -0.44 0.664

Compare with what we got without rescaling:

Show R code
parameters(bw_lm2, ci_method = "wald") |> print_md()
Parameter Coefficient SE 95% CI t(20) p
(Intercept) -2141.67 1163.60 (-4568.90, 285.56) -1.84 0.081
sex (male) 872.99 1611.33 (-2488.18, 4234.17) 0.54 0.594
age 130.40 30.00 (67.82, 192.98) 4.35 < .001
sex (male) × age -18.42 41.76 (-105.52, 68.68) -0.44 0.664

2.7 Prediction

2.7.1 Prediction for linear models

Definition 2.2 (Predicted value) In a regression model \(\text{p}(y|\tilde{x})\), the predicted value of \(y\) given \(\tilde{x}\) is the estimated mean of \(Y\) given \(\tilde{X}=\tilde{x}\):

\[\hat y \stackrel{\text{def}}{=}\hat{\text{E}}{\left[Y|\tilde{X}=\tilde{x}\right]}\]


For linear models, the predicted value can be straightforwardly calculated by multiplying each predictor value \(x_j\) by its corresponding coefficient \(\beta_j\) and adding up the results:

\[ \begin{aligned} \hat y &= \hat{\text{E}}{\left[Y|\tilde{X}=\tilde{x}\right]} \\ &= \tilde{x}'\hat\beta \\ &= \hat\beta_0\cdot 1 + \hat\beta_1 x_1 + ... + \hat\beta_p x_p \end{aligned} \]


2.7.2 Example: prediction for the birthweight data

Show R code
x <- c(1, 1, 40)
sum(x * coef(bw_lm1))
#> [1] 3225.49

R has built-in functions for prediction:

Show R code
x <- tibble(age = 40, sex = "male")
bw_lm1 |> predict(newdata = x)
#>       1 
#> 3225.49

If you don’t provide newdata, R will use the covariate values from the original dataset:

Show R code
predict(bw_lm1)
#>       1       2       3       4       5       6       7       8       9      10 
#> 3225.49 3062.45 2983.70 2578.87 3225.49 3062.45 2621.02 2820.66 2741.91 3304.24 
#>      11      12      13      14      15      16      17      18      19      20 
#> 2862.81 2941.56 3346.38 3062.45 3225.49 2699.77 2862.81 2578.87 2983.70 2820.66 
#>      21      22      23      24 
#> 3225.49 2941.56 2983.70 3062.45

These special predictions are called the fitted values of the dataset:

Definition 2.3 For a given dataset \((\tilde{Y}, \mathbf{X})\) and corresponding fitted model \(\text{p}_{\hat \beta}(\tilde{y}|\mathbf{x})\), the fitted value of \(y_i\) is the predicted value of \(y\) when \(\tilde{X}=\tilde{x}_i\) using the estimate parameters \(\hat \beta\).

R has an extra function to get these values:

Show R code
fitted(bw_lm1)
#>       1       2       3       4       5       6       7       8       9      10 
#> 3225.49 3062.45 2983.70 2578.87 3225.49 3062.45 2621.02 2820.66 2741.91 3304.24 
#>      11      12      13      14      15      16      17      18      19      20 
#> 2862.81 2941.56 3346.38 3062.45 3225.49 2699.77 2862.81 2578.87 2983.70 2820.66 
#>      21      22      23      24 
#> 3225.49 2941.56 2983.70 3062.45

2.7.3 Confidence intervals

Use predict(se.fit = TRUE) to compute SEs for predicted values:

Show R code
bw_lm1 |>
  predict(
    newdata = x,
    se.fit = TRUE
  )
#> $fit
#>       1 
#> 3225.49 
#> 
#> $se.fit
#> [1] 61.4599
#> 
#> $df
#> [1] 21
#> 
#> $residual.scale
#> [1] 177.116

The output of predict.lm(se.fit = TRUE) is a list(); you can extract the elements with $ or magrittr::use_series():

Show R code
library(magrittr)
bw_lm1 |>
  predict(
    newdata = x,
    se.fit = TRUE
  ) |>
  use_series(se.fit)
#> [1] 61.4599

We can construct confidence intervals for \(\text{E}{\left[Y|X=x\right]}\) using the usual formula:

\[\mu(\tilde{x}) \in {\left({\color{red}\hat{\mu}(\tilde{x})} \pm {\color{blue}\zeta_\alpha}\right)}\]

\[ {\color{blue}\zeta_\alpha} = t_{n-p}{\left(1-\frac{\alpha}{2}\right)} * \widehat{\text{se}}{\left(\hat{\mu}(\tilde{x})\right)} \]

\[{\color{red}\hat{\mu}(\tilde{x})} = \tilde{x}\cdot \hat \beta\]

\[\text{se}{\left(\hat{\mu}(\tilde{x})\right)} = \sqrt{\text{Var}{\left(\hat{\mu}(\tilde{x})\right)}}\] \[ \begin{aligned} \text{Var}{\left(\hat{\mu}(\tilde{x})\right)} &= \text{Var}{\left(x'\hat{\beta}\right)} \\&= x' \text{Var}{\left(\hat{\beta}\right)} x \\&= x' \sigma^2(\mathbf{X}'\mathbf{X})^{-1} x \\&= \sigma^2 x' (\mathbf{X}'\mathbf{X})^{-1} x \\&= \sum_{i=1}^n\sum_{j=1}^nx_i x_j \text{Cov}{\left(\hat \beta_i, \hat \beta_j\right)} \end{aligned} \] \[\widehat{\text{Var}}{\left(\hat{\mu}(\tilde{x})\right)} = \hat \sigma^2 x' (\mathbf{X}'\mathbf{X})^{-1} x\]

Show R code
bw_lm2 |> predict(
  newdata = x,
  interval = "confidence"
)
#>       fit     lwr     upr
#> 1 3210.64 3062.23 3359.05

Show R code
library(sjPlot)
bw_lm2 |>
  plot_model(type = "pred", terms = c("age", "sex"), show.data = TRUE) +
  theme_sjplot() +
  theme(legend.position = "bottom")
Figure 2.9: Predicted values and confidence bands for the birthweight model with interaction term

2.7.4 Prediction intervals

We can also construct prediction intervals for the value of a new observation \(Y^*\), given a covariate pattern \(\tilde{x}^*\):

\[ \begin{aligned} \hat{Y^*} &= \hat\mu({\tilde{x}}^*) + \hat{\epsilon}^* \\ \text{Var}{\left(\hat{Y}\right)} &= \text{Var}{\left(\hat\mu\right)} + \text{Var}{\left(\hat\epsilon\right)} \\ \text{Var}{\left(\hat{Y}\right)} &= \text{Var}{\left(x'\hat \beta\right)} + \text{Var}{\left(\hat\epsilon\right)} \\ &= {{\tilde{x}}^{*\top}} \text{Var}{\left(\hat \beta\right)} {{\tilde{x}}^*} + \sigma^2 \\ &= {{\tilde{x}}^{*\top}} {\left(\sigma^2(\mathbf{X}'\mathbf{X})^{-1}\right)} {{\tilde{x}}^*} + \sigma^2 \\ &= \sigma^2 {{\tilde{x}}^{*\top}} (\mathbf{X}'\mathbf{X})^{-1} {{\tilde{x}}^*} + \sigma^2 \end{aligned} \tag{2.9}\]

See Hogg, Tanis, and Zimmerman (2015) §7.6 (p. 340) for a longer version.

Show R code
bw_lm2 |>
  predict(newdata = x, interval = "predict")
#>       fit     lwr     upr
#> 1 3210.64 2805.71 3615.57

If you don’t specify newdata, you get a warning:

Show R code
bw_lm2 |>
  predict(interval = "predict") |>
  head()
#> Warning in predict.lm(bw_lm2, interval = "predict"): predictions on current data refer to _future_ responses
#>       fit     lwr     upr
#> 1 2552.73 2124.50 2980.97
#> 2 2552.73 2124.50 2980.97
#> 3 2683.13 2275.99 3090.27
#> 4 2813.53 2418.60 3208.47
#> 5 2813.53 2418.60 3208.47
#> 6 2943.93 2551.48 3336.38

The warning from the last command is: “predictions on current data refer to future responses” (since you already know what happened to the current data, and thus don’t need to predict it).

See ?predict.lm for more.


Show R code
plot_PIs_and_CIs(bw_lm2, bw)
Figure 2.10: Confidence and prediction intervals for birthweight model 2.2

2.8 Diagnostics

Tip

This section is adapted from Dobson and Barnett (2018, secs. 6.2–6.3) and Dunn and Smyth (2018) Chapter 3.

2.8.1 Assumptions in linear regression models

\[Y_i|\tilde{X}_i \sim_{{\color{red}\perp\!\!\!\perp}} {\color{blue}\text{N}}({\color{orange}\mu_i}, {\color{green}\sigma^2})\] \[{\color{orange}\mu_i = \tilde{x}\cdot \tilde{\beta}}\]

  1. \({\color{blue}\text{Normality}}\)

The model assumes that the distribution conditional on a given \(X\) value is Gaussian.

  1. \({\color{orange}\text{Correct Functional Form}}\) of Conditional Mean Structure (Linear Component)

The model assumes that the conditional means have the structure: \[\text{E}[Y|\tilde{X}= \tilde{x}] = \tilde{x}'\tilde{\beta}\]

  1. \({\color{green}\text{Homoskedasticity}}\)

The model assumes that variance \(\sigma^2\) is constant (with respect to \(\tilde{x}\)).

  1. \({\color{red}\text{Independence}}\)

The model assumes that the observations are statistically independent.

2.8.2 Direct visualization

The most direct way to examine the fit of a model is to compare it to the raw observed data.

Show R code
bw <-
  bw |>
  mutate(
    predlm2 = predict(bw_lm2)
  ) |>
  arrange(sex, age)

plot1_interact <-
  plot1 %+% bw +
  geom_line(aes(y = predlm2))

print(plot1_interact)
Figure 2.11: Birthweight model with interaction term

It’s not easy to assess these assumptions from this model. If there are multiple continuous covariates, it becomes even harder to visualize the raw data.


Fitted model for hers data

Consider the hers data from Vittinghoff et al. (2012).

The “heart and estrogen/progestin study” (HERS) was a clinical trial of hormone therapy for prevention of recurrent heart attacks and death among 2,763 post-menopausal women with existing coronary heart disease (CHD) (Hulley et al. 1998).

Show R code
hers <- fs::path_package("rme", "extdata/hersdata.dta") |> 
  haven::read_dta()
hers
Table 2.12: hers data

Suppose we consider models with and without intercept terms (i.e., possibly forcing the intercept to go through 0):

Show R code
hers_lm_with_int <- lm(
  na.action = na.exclude,
  LDL ~ smoking * age, data = hers
)


library(equatiomatic)
equatiomatic::extract_eq(hers_lm_with_int)

\[ \operatorname{LDL} = \alpha + \beta_{1}(\operatorname{smoking}) + \beta_{2}(\operatorname{age}) + \beta_{3}(\operatorname{smoking} \times \operatorname{age}) + \epsilon \]

Show R code
hers_lm_no_int <- lm(
  na.action = na.exclude,
  LDL ~ age + smoking:age - 1, data = hers
)

library(equatiomatic)
equatiomatic::extract_eq(hers_lm_no_int)

\[ \operatorname{LDL} = \beta_{1}(\operatorname{age}) + \beta_{2}(\operatorname{age} \times \operatorname{age}_{\operatorname{smoking}}) + \epsilon \]

Table 2.13: hers data models with and without intercepts
Show R code
library(gtsummary)
hers_lm_with_int |> 
  tbl_regression(intercept = TRUE)
(a) With intercept
Characteristic Beta 95% CI p-value
(Intercept) 154 138, 170 <0.001
current smoker 54 15, 94 0.007
age in years -0.14 -0.38, 0.09 0.2
current smoker * age in years -0.79 -1.4, -0.17 0.012
Abbreviation: CI = Confidence Interval
Show R code
hers_lm_no_int |> 
  tbl_regression(intercept = TRUE)
(b) No intercept
Characteristic Beta 95% CI p-value
age in years 2.1 2.1, 2.2 <0.001
age in years * current smoker 0.19 0.12, 0.26 <0.001
Abbreviation: CI = Confidence Interval

Figure 2.12: hers data models with and without intercepts
Show R code
library(sjPlot)

hers_plot1 <- hers_lm_no_int |>
  sjPlot::plot_model(
    type = "pred",
    terms = c("age", "smoking"),
    show.data = TRUE
  ) +
  facet_wrap(~group_col, ncol = 1) +
  expand_limits(y = 0) +
  theme(legend.position = "bottom")

hers_plot1
(a) No intercept

Show R code
library(sjPlot)

hers_plot2 <- hers_lm_with_int |>
  sjPlot::plot_model(
    type = "pred",
    terms = c("age", "smoking"),
    show.data = TRUE
  ) +
  facet_wrap(~group_col, ncol = 1) +
  expand_limits(y = 0) +
  theme(legend.position = "bottom")

hers_plot2
(b) With intercept

2.8.3 Residuals

Maybe we can transform the data and model in some way to make it easier to inspect.

Definition 2.4 (Residual noise/deviation from the population mean) The residual noise in a probabilistic model \(p(Y)\), also known as the residual deviation of an observation from its population mean or residual for short, is the difference between an observed value \(y\) and its population mean:

\[\varepsilon(y) \stackrel{\text{def}}{=}y - \text{E}{\left[Y\right]} \tag{2.10}\]

We use the same notation for residual noise that we used for errors.

\(\text{E}{\left[Y\right]}\) can be viewed as an estimate of \(Y\), before \(y\) is observed. Conversely, each observation \(y\) can be viewed as an estimate of \(\text{E}{\left[Y\right]}\) (albeit an imprecise one, individually, since \(n=1\)).

We can rearrange Equation 2.10 to view \(y\) as the sum of its mean plus the residual noise:

\[y = \text{E}{\left[Y\right]} + \varepsilon{\left(y\right)}\]


Theorem 2.1 (Residuals in Gaussian models) If \(Y\) has a Gaussian distribution, then \(\varepsilon(Y)\) also has a Gaussian distribution, and vice versa.

Proof. Left to the reader.


Definition 2.5 (Residuals of a fitted model value) The residual of a fitted value \(\hat y\) (shorthand: “residual”) is its error relative to the observed data: \[ \begin{aligned} e(\hat y) &\stackrel{\text{def}}{=}\varepsilon{\left(\hat y\right)} \\&= y - \hat y \end{aligned} \]


Example 2.3 (residuals in birthweight data)  

Show R code
plot1_interact +
  facet_wrap(~sex) +
  geom_segment(
    aes(
      x = age,
      y = predlm2,
      xend = age,
      yend = weight,
      col = sex,
      group = id
    ),
    linetype = "dotted"
  )
Figure 2.13: Fitted values and residuals for interaction model for birthweight data


Residuals of fitted values vs residual noise

\(e(\hat y)\) can be seen as the maximum likelihood estimate of the residual noise:

\[ \begin{aligned} e(\hat y) &= y - \hat y \\ &= \hat\varepsilon_{ML} \end{aligned} \]


General characteristics of residuals

Theorem 2.2 If \(\hat{\text{E}}{\left[Y\right]}\) is an unbiased estimator of the mean \(\text{E}{\left[Y\right]}\), then:

\[\text{E}{\left[e(y)\right]} = 0 \tag{2.11}\] \[\text{Var}{\left(e(y)\right)} \approx \sigma^2 \tag{2.12}\]


Proof.  

Equation 2.11:

\[ \begin{aligned} \text{E}{\left[e(y)\right]} &= \text{E}{\left[y - \hat y\right]} \\ &= \text{E}{\left[y\right]} - \text{E}{\left[\hat y\right]} \\ &= \text{E}{\left[y\right]} - \text{E}{\left[y\right]} \\ &= 0 \end{aligned} \]

Equation 2.12:

\[ \begin{aligned} \text{Var}{\left(e(y)\right)} &= \text{Var}{\left(y - \hat y\right)} \\ &= \text{Var}{\left(y\right)} + \text{Var}{\left(\hat y\right)} - 2 \text{Cov}{\left(y, \hat y\right)} \\ &{\dot{\approx}} \text{Var}{\left(y\right)} + 0 - 2 \cdot 0 \\ &= \text{Var}{\left(y\right)} \\ &= \sigma^2 \end{aligned} \]


Characteristics of residuals in Gaussian models

With enough data and a correct model, the residuals will be approximately Guassian distributed, with variance \(\sigma^2\), which we can estimate using \(\hat\sigma^2\); that is:

\[ e_i \ \sim_{\text{iid}}\ N(0, \hat\sigma^2) \]


Computing residuals in R

R provides a function for residuals:

Show R code
resid(bw_lm2)
#>         1         2         3         4         5         6         7         8 
#>  176.2667 -140.7333 -144.1333  -59.5333  177.4667 -126.9333  -68.9333  242.6667 
#>         9        10        11        12        13        14        15        16 
#> -139.3333   51.6667  156.6667 -125.1333  274.2759 -137.7069  -27.6897 -246.6897 
#>        17        18        19        20        21        22        23        24 
#> -191.6724  189.3276  -11.6724 -242.6379  -47.6379  262.3621  210.3621  -30.6207

Exercise 2.13 Check R’s output by computing the residuals directly.

Solution.  

Show R code
bw$weight - fitted(bw_lm2)
#>         1         2         3         4         5         6         7         8 
#>  176.2667 -140.7333 -144.1333  -59.5333  177.4667 -126.9333  -68.9333  242.6667 
#>         9        10        11        12        13        14        15        16 
#> -139.3333   51.6667  156.6667 -125.1333  274.2759 -137.7069  -27.6897 -246.6897 
#>        17        18        19        20        21        22        23        24 
#> -191.6724  189.3276  -11.6724 -242.6379  -47.6379  262.3621  210.3621  -30.6207

This matches R’s output!


Graphing the residuals

Figure 2.14: Fitted values and residuals for interaction model for birthweight data
Show R code
plot1_interact +
  facet_wrap(~sex) +
  geom_segment(
    aes(
      x = age,
      y = predlm2,
      xend = age,
      yend = weight,
      col = sex,
      group = id
    ),
    linetype = "dotted"
  )
(a) fitted values

Show R code

bw <- bw |>
  mutate(
    resids_intxn =
      weight - fitted(bw_lm2)
  )

plot_bw_resid <-
  bw |>
  ggplot(aes(
    x = age,
    y = resids_intxn,
    linetype = sex,
    shape = sex,
    col = sex
  )) +
  theme_bw() +
  xlab("Gestational age (weeks)") +
  ylab("residuals (grams)") +
  theme(legend.position = "bottom") +
  geom_hline(aes(
    yintercept = 0,
    col = sex
  )) +
  geom_segment(
    aes(yend = 0),
    linetype = "dotted"
  ) +
  geom_point()
# expand_limits(y = 0, x = 0) +
geom_point(alpha = .7)
#> geom_point: na.rm = FALSE
#> stat_identity: na.rm = FALSE
#> position_identity
print(plot_bw_resid + facet_wrap(~sex))
(b) Residuals


Residuals versus predictors

Show R code
hers <- hers |>
  mutate(
    resids_no_intcpt =
      LDL - fitted(hers_lm_no_int),
    resids_with_intcpt =
      LDL - fitted(hers_lm_with_int)
  )
Figure 2.15: Residuals of hers data vs predictors
Show R code
hers |>
  arrange(age) |>
  ggplot() +
  aes(x = age, y = resids_no_intcpt, col = factor(smoking)) +
  geom_point() +
  geom_hline(aes(yintercept = 0, col = factor(smoking))) +
  facet_wrap(~smoking, labeller = "label_both") +
  theme(legend.position = "bottom") +
  geom_smooth(col = "blue")
(a) no intercept

Show R code
hers |>
  arrange(age) |>
  ggplot() +
  aes(x = age, y = resids_with_intcpt, col = factor(smoking)) +
  geom_point() +
  geom_hline(aes(yintercept = 0, col = factor(smoking))) +
  facet_wrap(~smoking, labeller = "label_both") +
  theme(legend.position = "bottom") +
  geom_smooth(col = "blue")
(b) with intercept


Residuals versus fitted values

If the model contains multiple continuous covariates, how do we check for errors in the mean structure assumption?

Show R code
library(ggfortify)
hers_lm_no_int |>
  update(na.action = na.omit) |>
  autoplot(
    which = 1,
    ncol = 1,
    smooth.colour = NA
  ) +
  geom_hline(yintercept = 0, col = "red")
Figure 2.16: Residuals of interaction model for hers data

We can add a LOESS smooth to visualize where the residual mean is nonzero:

Show R code
library(ggfortify)
hers_lm_no_int |>
  update(na.action = na.omit) |>
  autoplot(
    which = 1,
    ncol = 1
  ) +
  geom_hline(yintercept = 0, col = "red")
Figure 2.17: Residuals of interaction model for hers data, no intercept term

Figure 2.18: Residuals of interaction model for hers data, with and without intercept term
Show R code
library(ggfortify)
hers_lm_no_int |>
  update(na.action = na.omit) |>
  autoplot(
    which = 1,
    ncol = 1
  ) +
  geom_hline(yintercept = 0, col = "red")
(a) no intercept term

Show R code
hers_lm_with_int |>
  update(na.action = na.omit) |>
  autoplot(
    which = 1,
    ncol = 1
  ) +
  geom_hline(yintercept = 0, col = "red")
(b) with intercept term


Definition 2.6 (Standardized residuals) \[r_i = \frac{e_i}{\widehat{SD}(e_i)}\]

Hence, with enough data and a correct model, the standardized residuals will be approximately standard Gaussian; that is,

\[ r_i \ \sim_{\text{iid}}\ N(0,1) \]

2.8.4 Marginal distributions of residuals

To look for problems with our model, we can check whether the residuals \(e_i\) and standardized residuals \(r_i\) look like they have the distributions that they are supposed to have, according to the model.


Standardized residuals in R

Show R code
rstandard(bw_lm2)
#>          1          2          3          4          5          6          7 
#>  1.1598166 -0.9260109 -0.8747917 -0.3472255  1.0350665 -0.7347315 -0.3990086 
#>          8          9         10         11         12         13         14 
#>  1.4375164 -0.8253872  0.3060646  0.9280669 -0.8761592  1.9142780 -0.8655921 
#>         15         16         17         18         19         20         21 
#> -0.1642993 -1.4637574 -1.1101599  1.0965787 -0.0676062 -1.4615865 -0.2869582 
#>         22         23         24 
#>  1.5803994  1.2671652 -0.1980543
resid(bw_lm2) / sigma(bw_lm2)
#>          1          2          3          4          5          6          7 
#>  0.9759331 -0.7791962 -0.7980209 -0.3296173  0.9825771 -0.7027900 -0.3816622 
#>          8          9         10         11         12         13         14 
#>  1.3435690 -0.7714449  0.2860621  0.8674141 -0.6928239  1.5185792 -0.7624398 
#>         15         16         17         18         19         20         21 
#> -0.1533089 -1.3658431 -1.0612299  1.0482473 -0.0646265 -1.3434099 -0.2637562 
#>         22         23         24 
#>  1.4526163  1.1647086 -0.1695371

These are not quite the same, because R is doing something more complicated and precise to get the standard errors. Let’s not worry about those details for now; the difference is pretty small in this case:


Show R code
rstandard_compare_plot <-
  tibble(
    x = resid(bw_lm2) / sigma(bw_lm2),
    y = rstandard(bw_lm2)
  ) |>
  ggplot(aes(x = x, y = y)) +
  geom_point() +
  theme_bw() +
  coord_equal() +
  xlab("resid(bw_lm2)/sigma(bw_lm2)") +
  ylab("rstandard(bw_lm2)") +
  geom_abline(
    aes(
      intercept = 0,
      slope = 1,
      col = "x=y"
    )
  ) +
  labs(colour = "") +
  scale_colour_manual(values = "red")

print(rstandard_compare_plot)


Let’s add these residuals to the tibble of our dataset:

Show R code
bw <-
  bw |>
  mutate(
    fitted_lm2 = fitted(bw_lm2),
    resid_lm2 = resid(bw_lm2),
    resid_lm2_alt = weight - fitted_lm2,
    std_resid_lm2 = rstandard(bw_lm2),
    std_resid_lm2_alt = resid_lm2 / sigma(bw_lm2)
  )

bw |>
  select(
    sex,
    age,
    weight,
    fitted_lm2,
    resid_lm2,
    std_resid_lm2
  )

Now let’s build histograms:

Show R code
resid_marginal_hist <-
  bw |>
  ggplot(aes(x = resid_lm2)) +
  geom_histogram()

print(resid_marginal_hist)
Figure 2.19: Marginal distribution of (nonstandardized) residuals

Hard to tell with this small amount of data, but I’m a bit concerned that the histogram doesn’t show a bell-curve shape.


Show R code
std_resid_marginal_hist <-
  bw |>
  ggplot(aes(x = std_resid_lm2)) +
  geom_histogram()

print(std_resid_marginal_hist)
Figure 2.20: Marginal distribution of standardized residuals

This looks similar, although the scale of the x-axis got narrower, because we divided by \(\hat\sigma\) (roughly speaking).

Still hard to tell if the distribution is Gaussian.


2.8.5 QQ plot of standardized residuals

Another way to assess normality is the QQ plot of the standardized residuals versus normal quantiles:

Show R code
library(ggfortify)
# needed to make ggplot2::autoplot() work for `lm` objects

qqplot_lm2_auto <-
  bw_lm2 |>
  autoplot(
    which = 2, # options are 1:6; can do multiple at once
    ncol = 1
  ) +
  theme_classic()

print(qqplot_lm2_auto)

If the Gaussian model were correct, these points should follow the dotted line.

Fig 2.4 panel (c) in Dobson and Barnett (2018) is a little different; they didn’t specify how they produced it, but other statistical analysis systems do things differently from R.

See also Dunn and Smyth (2018) §3.5.4.


QQ plot - how it’s built

Let’s construct it by hand:

Show R code
bw <- bw |>
  mutate(
    p = (rank(std_resid_lm2) - 1 / 2) / n(), # "Blom's method"
    expected_quantiles_lm2 = qnorm(p)
  )

qqplot_lm2 <-
  bw |>
  ggplot(
    aes(
      x = expected_quantiles_lm2,
      y = std_resid_lm2,
      col = sex,
      shape = sex
    )
  ) +
  geom_point() +
  theme_classic() +
  theme(legend.position = "none") + # removing the plot legend
  ggtitle("Normal Q-Q") +
  xlab("Theoretical Quantiles") +
  ylab("Standardized residuals")

# find the expected line:

ps <- c(.25, .75) # reference probabilities
a <- quantile(rstandard(bw_lm2), ps) # empirical quantiles
b <- qnorm(ps) # theoretical quantiles

qq_slope <- diff(a) / diff(b)
qq_intcpt <- a[1] - b[1] * qq_slope

qqplot_lm2 <-
  qqplot_lm2 +
  geom_abline(slope = qq_slope, intercept = qq_intcpt)

print(qqplot_lm2)


2.8.6 Conditional distributions of residuals

If our Gaussian linear regression model is correct, the residuals \(e_i\) and standardized residuals \(r_i\) should have:

  • an approximately Gaussian distribution, with:
  • a mean of 0
  • a constant variance

This should be true for every value of \(x\).


If we didn’t correctly guess the functional form of the linear component of the mean, \[\text{E}[Y|X=x] = \beta_0 + \beta_1 X_1 + ... + \beta_p X_p\]

Then the residuals might have nonzero mean.

Regardless of whether we guessed the mean function correctly, ther the variance of the residuals might differ between values of \(x\).


Residuals versus fitted values

To look for these issues, we can plot the residuals \(e_i\) against the fitted values \(\hat y_i\) (Figure 2.21).

Show R code
autoplot(bw_lm2, which = 1, ncol = 1) |> print()
Figure 2.21: birthweight model (Equation 2.2): residuals versus fitted values

If the model is correct, the blue line should stay flat and close to 0, and the cloud of dots should have the same vertical spread regardless of the fitted value.

If not, we probably need to change the functional form of linear component of the mean, \[\text{E}[Y|X=x] = \beta_0 + \beta_1 X_1 + ... + \beta_p X_p\]


Example: PLOS Medicine title length data

(Adapted from Dobson and Barnett (2018), §6.7.1)

Show R code
data(PLOS, package = "dobson")
library(ggplot2)
fig1 = 
  PLOS |> 
  ggplot(
    aes(x = authors,
        y = nchar)
  ) +
  geom_point() +
  theme(legend.position = "bottom") +
  labs(col = "") +
  guides(col=guide_legend(ncol=3))
fig1
Figure 2.22: Number of authors versus title length in PLOS Medicine articles

Linear fit
Show R code
lm_PLOS_linear = lm(
  formula = nchar ~ authors, 
  data = PLOS)
Show R code
fig2 = fig1 +
  geom_smooth(
    method = "lm", 
              fullrange = TRUE,
              aes(col = "lm(y ~ x)"))
fig2

library(ggfortify)
autoplot(lm_PLOS_linear, which = 1, ncol = 1)
Figure 2.23: Number of authors versus title length in PLOS Medicine, with linear model fit
(a) Data and fit
(b) Residuals vs fitted

Quadratic fit
Show R code
lm_PLOS_quad = lm(
  formula = nchar ~ authors + I(authors^2), 
  data = PLOS)
Show R code
fig3 = 
  fig2 + 
geom_smooth(
    method = "lm",
    fullrange = TRUE,
    formula = y ~ x + I(x ^ 2),
    aes(col = "lm(y ~ x + I(x^2))")
  )
fig3

autoplot(lm_PLOS_quad, which = 1, ncol = 1)
Figure 2.24: Number of authors versus title length in PLOS Medicine, with quadratic model fit
(a) Data and fit
(b) Residuals vs fitted

Linear versus quadratic fits
Show R code
library(ggfortify)
autoplot(lm_PLOS_linear, which = 1, ncol = 1)

autoplot(lm_PLOS_quad, which = 1, ncol = 1)
Figure 2.25: Residuals versus fitted plot for linear and quadratic fits to PLOS data
(a) Linear
(b) Quadratic

Cubic fit
Show R code
lm_PLOS_cub = lm(
  formula = nchar ~ authors + I(authors^2) + I(authors^3), 
  data = PLOS)
Show R code
fig4 = 
  fig3 + 
geom_smooth(
    method = "lm",
    fullrange = TRUE,
    formula = y ~ x + I(x ^ 2) + I(x ^ 3),
    aes(col = "lm(y ~ x + I(x^2) + I(x ^ 3))")
  )
fig4

autoplot(lm_PLOS_cub, which = 1, ncol = 1)
Figure 2.26: Number of authors versus title length in PLOS Medicine, with cubic model fit
(a) Data and fit
(b) Residuals vs fitted

Logarithmic fit
Show R code
lm_PLOS_log = lm(nchar ~ log(authors), data = PLOS)
Show R code
fig5 = fig4 + 
  geom_smooth(
    method = "lm",
    fullrange = TRUE,
    formula = y ~ log(x),
    aes(col = "lm(y ~ log(x))")
  )
fig5

autoplot(lm_PLOS_log, which = 1, ncol = 1)
Figure 2.27: logarithmic fit
(a) Data and fit
(b) Residuals vs fitted

Model selection
Show R code
anova(lm_PLOS_linear, lm_PLOS_quad)
Table 2.14: linear vs quadratic
Show R code
anova(lm_PLOS_quad, lm_PLOS_cub)
Table 2.15: quadratic vs cubic

AIC/BIC
Show R code
AIC(lm_PLOS_quad)
#> [1] 8567.61
AIC(lm_PLOS_cub)
#> [1] 8554.51
Show R code
AIC(lm_PLOS_cub)
#> [1] 8554.51
AIC(lm_PLOS_log)
#> [1] 8543.63
Show R code
BIC(lm_PLOS_cub)
#> [1] 8578.4
BIC(lm_PLOS_log)
#> [1] 8557.97

Extrapolation is dangerous
Show R code
fig_all = fig5 +
  xlim(0, 60)
fig_all
Figure 2.28: Number of authors versus title length in PLOS Medicine

Scale-location plot

We can also plot the square roots of the absolute values of the standardized residuals against the fitted values (Figure 2.29).

Show R code
autoplot(bw_lm2, which = 3, ncol = 1) |> print()
Figure 2.29: Scale-location plot of birthweight data

Here, the blue line doesn’t need to be near 0, but it should be flat. If not, the residual variance \(\sigma^2\) might not be constant, and we might need to transform our outcome \(Y\) (or use a model that allows non-constant variance).


Residuals versus leverage

We can also plot our standardized residuals against “leverage”, which roughly speaking is a measure of how unusual each \(x_i\) value is. Very unusual \(x_i\) values can have extreme effects on the model fit, so we might want to remove those observations as outliers, particularly if they have large residuals.

Show R code
autoplot(bw_lm2, which = 5, ncol = 1) |> print()
Figure 2.30: birthweight model with interactions (Equation 2.2): residuals versus leverage

The blue line should be relatively flat and close to 0 here.


2.8.7 Diagnostics constructed by hand

Show R code
bw <-
  bw |>
  mutate(
    predlm2 = predict(bw_lm2),
    residlm2 = weight - predlm2,
    std_resid = residlm2 / sigma(bw_lm2),
    # std_resid_builtin = rstandard(bw_lm2), # uses leverage
    sqrt_abs_std_resid = std_resid |> abs() |> sqrt()
  )
Residuals vs fitted
Show R code
resid_vs_fit <- bw |>
  ggplot(
    aes(x = predlm2, y = residlm2, col = sex, shape = sex)
  ) +
  geom_point() +
  theme_classic() +
  geom_hline(yintercept = 0)

print(resid_vs_fit)

Standardized residuals vs fitted
Show R code
bw |>
  ggplot(
    aes(x = predlm2, y = std_resid, col = sex, shape = sex)
  ) +
  geom_point() +
  theme_classic() +
  geom_hline(yintercept = 0)

Standardized residuals vs gestational age
Show R code
bw |>
  ggplot(
    aes(x = age, y = std_resid, col = sex, shape = sex)
  ) +
  geom_point() +
  theme_classic() +
  geom_hline(yintercept = 0)

sqrt(abs(rstandard())) vs fitted

Compare with autoplot(bw_lm2, 3)

Show R code
bw |>
  ggplot(
    aes(x = predlm2, y = sqrt_abs_std_resid, col = sex, shape = sex)
  ) +
  geom_point() +
  theme_classic() +
  geom_hline(yintercept = 0)

2.9 Model selection

(adapted from Dobson and Barnett (2018) §6.3.3; for more information on prediction, see James et al. (2013) and Harrell (2015)).

If we have a lot of covariates in our dataset, we might want to choose a small subset to use in our model.

There are a few possible metrics to consider for choosing a “best” model.

2.9.1 Mean squared error

We might want to minimize the mean squared error, \(\text E[(y-\hat y)^2]\), for new observations that weren’t in our data set when we fit the model.

Unfortunately, \[\frac{1}{n}\sum_{i=1}^n (y_i-\hat y_i)^2\] gives a biased estimate of \(\text E[(y-\hat y)^2]\) for new data. If we want an unbiased estimate, we will have to be clever.


Cross-validation

Show R code
data("carbohydrate", package = "dobson")
library(cvTools)
full_model <- lm(carbohydrate ~ ., data = carbohydrate)
cv_full <-
  full_model |> cvFit(
    data = carbohydrate, K = 5, R = 10,
    y = carbohydrate$carbohydrate
  )

reduced_model <- full_model |> update(formula = ~ . - age)

cv_reduced <-
  reduced_model |> cvFit(
    data = carbohydrate, K = 5, R = 10,
    y = carbohydrate$carbohydrate
  )

Show R code
results_reduced <-
  tibble(
    model = "wgt+protein",
    errs = cv_reduced$reps[]
  )
results_full <-
  tibble(
    model = "wgt+age+protein",
    errs = cv_full$reps[]
  )

cv_results <-
  bind_rows(results_reduced, results_full)

cv_results |>
  ggplot(aes(y = model, x = errs)) +
  geom_boxplot()


comparing metrics
Show R code
compare_results <- tribble(
  ~model, ~cvRMSE, ~r.squared, ~adj.r.squared, ~trainRMSE, ~loglik,
  "full",
  cv_full$cv,
  summary(full_model)$r.squared,
  summary(full_model)$adj.r.squared,
  sigma(full_model),
  logLik(full_model) |> as.numeric(),
  "reduced",
  cv_reduced$cv,
  summary(reduced_model)$r.squared,
  summary(reduced_model)$adj.r.squared,
  sigma(reduced_model),
  logLik(reduced_model) |> as.numeric()
)

compare_results

Show R code
anova(full_model, reduced_model)

stepwise regression

Show R code
library(olsrr)
olsrr:::ols_step_both_aic(full_model)
#> 
#> 
#>                              Stepwise Summary                              
#> -------------------------------------------------------------------------
#> Step    Variable         AIC        SBC       SBIC       R2       Adj. R2 
#> -------------------------------------------------------------------------
#>  0      Base Model     140.773    142.764    83.068    0.00000    0.00000 
#>  1      protein (+)    137.950    140.937    80.438    0.21427    0.17061 
#>  2      weight (+)     132.981    136.964    77.191    0.44544    0.38020 
#> -------------------------------------------------------------------------
#> 
#> Final Model Output 
#> ------------------
#> 
#>                          Model Summary                          
#> ---------------------------------------------------------------
#> R                       0.667       RMSE                 5.505 
#> R-Squared               0.445       MSE                 30.301 
#> Adj. R-Squared          0.380       Coef. Var           15.879 
#> Pred R-Squared          0.236       AIC                132.981 
#> MAE                     4.593       SBC                136.964 
#> ---------------------------------------------------------------
#>  RMSE: Root Mean Square Error 
#>  MSE: Mean Square Error 
#>  MAE: Mean Absolute Error 
#>  AIC: Akaike Information Criteria 
#>  SBC: Schwarz Bayesian Criteria 
#> 
#>                                ANOVA                                
#> -------------------------------------------------------------------
#>                 Sum of                                             
#>                Squares        DF    Mean Square      F        Sig. 
#> -------------------------------------------------------------------
#> Regression     486.778         2        243.389    6.827    0.0067 
#> Residual       606.022        17         35.648                    
#> Total         1092.800        19                                   
#> -------------------------------------------------------------------
#> 
#>                                   Parameter Estimates                                    
#> ----------------------------------------------------------------------------------------
#>       model      Beta    Std. Error    Std. Beta      t        Sig      lower     upper 
#> ----------------------------------------------------------------------------------------
#> (Intercept)    33.130        12.572                  2.635    0.017     6.607    59.654 
#>     protein     1.824         0.623        0.534     2.927    0.009     0.509     3.139 
#>      weight    -0.222         0.083       -0.486    -2.662    0.016    -0.397    -0.046 
#> ----------------------------------------------------------------------------------------

Lasso

\[\arg \max_{\theta} {\left\{\ell(\theta) - \lambda \sum_{j=1}^p|\beta_j|\right\}}\]

Show R code
library(glmnet)
y <- carbohydrate$carbohydrate
x <- carbohydrate |>
  select(age, weight, protein) |>
  as.matrix()
fit <- glmnet(x, y)

Show R code
autoplot(fit, xvar = "lambda")
Figure 2.31: Lasso selection

Show R code
cvfit <- cv.glmnet(x, y)
plot(cvfit)


Show R code
coef(cvfit, s = "lambda.1se")
#> 4 x 1 sparse Matrix of class "dgCMatrix"
#>             lambda.1se
#> (Intercept) 34.3091615
#> age          .        
#> weight      -0.0800142
#> protein      0.7640510

2.10 Categorical covariates with more than two levels

2.10.1 Example: birthweight

In the birthweight example, the variable sex had only two observed values:

Show R code
unique(bw$sex)
#> [1] female male  
#> Levels: female male

If there are more than two observed values, we can’t just use a single variable with 0s and 1s.

2.10.2

For example, Table 2.16 shows the (in)famous iris data (Anderson (1935)), and Table 2.17 provides summary statistics. The data include three species: “setosa”, “versicolor”, and “virginica”.

Show R code
head(iris)
Table 2.16: The iris data
Show R code
library(table1)
table1(
  x = ~ . | Species,
  data = iris,
  overall = FALSE
)
Table 2.17: Summary statistics for the iris data
setosa
(N=50)
versicolor
(N=50)
virginica
(N=50)
Sepal.Length
Mean (SD) 5.01 (0.352) 5.94 (0.516) 6.59 (0.636)
Median [Min, Max] 5.00 [4.30, 5.80] 5.90 [4.90, 7.00] 6.50 [4.90, 7.90]
Sepal.Width
Mean (SD) 3.43 (0.379) 2.77 (0.314) 2.97 (0.322)
Median [Min, Max] 3.40 [2.30, 4.40] 2.80 [2.00, 3.40] 3.00 [2.20, 3.80]
Petal.Length
Mean (SD) 1.46 (0.174) 4.26 (0.470) 5.55 (0.552)
Median [Min, Max] 1.50 [1.00, 1.90] 4.35 [3.00, 5.10] 5.55 [4.50, 6.90]
Petal.Width
Mean (SD) 0.246 (0.105) 1.33 (0.198) 2.03 (0.275)
Median [Min, Max] 0.200 [0.100, 0.600] 1.30 [1.00, 1.80] 2.00 [1.40, 2.50]

If we want to model Sepal.Length by species, we could create a variable \(X\) that represents “setosa” as \(X=1\), “virginica” as \(X=2\), and “versicolor” as \(X=3\).

Show R code
data(iris) # this step is not always necessary, but ensures you're starting
# from the original version of a dataset stored in a loaded package

iris <-
  iris |>
  tibble() |>
  mutate(
    X = case_when(
      Species == "setosa" ~ 1,
      Species == "virginica" ~ 2,
      Species == "versicolor" ~ 3
    )
  )

iris |>
  distinct(Species, X)
Table 2.18: iris data with numeric coding of species

Then we could fit a model like:

Show R code
iris_lm1 <- lm(Sepal.Length ~ X, data = iris)
iris_lm1 |>
  parameters() |>
  print_md()
Table 2.19: Model of iris data with numeric coding of Species
Parameter Coefficient SE 95% CI t(148) p
(Intercept) 4.91 0.16 (4.60, 5.23) 30.83 < .001
X 0.46 0.07 (0.32, 0.61) 6.30 < .001

2.10.3 Let’s see how that model looks:

Show R code
iris_plot1 <- iris |>
  ggplot(
    aes(
      x = X,
      y = Sepal.Length
    )
  ) +
  geom_point(alpha = .1) +
  geom_abline(
    intercept = coef(iris_lm1)[1],
    slope = coef(iris_lm1)[2]
  ) +
  theme_bw(base_size = 18)
print(iris_plot1)
Figure 2.32: Model of iris data with numeric coding of Species

We have forced the model to use a straight line for the three estimated means. Maybe not a good idea?

2.10.4 Let’s see what R does with categorical variables by default:

Show R code
iris_lm2 <- lm(Sepal.Length ~ Species, data = iris)
iris_lm2 |>
  parameters() |>
  print_md()
Table 2.20: Model of iris data with Species as a categorical variable
Parameter Coefficient SE 95% CI t(147) p
(Intercept) 5.01 0.07 (4.86, 5.15) 68.76 < .001
Species (versicolor) 0.93 0.10 (0.73, 1.13) 9.03 < .001
Species (virginica) 1.58 0.10 (1.38, 1.79) 15.37 < .001

2.10.5 Re-parametrize with no intercept

If you don’t want the default and offset option, you can use “-1” like we’ve seen previously:

Show R code
iris_lm2_no_int <- lm(Sepal.Length ~ Species - 1, data = iris)
iris_lm2_no_int |>
  parameters() |>
  print_md()
Table 2.21
Parameter Coefficient SE 95% CI t(147) p
Species (setosa) 5.01 0.07 (4.86, 5.15) 68.76 < .001
Species (versicolor) 5.94 0.07 (5.79, 6.08) 81.54 < .001
Species (virginica) 6.59 0.07 (6.44, 6.73) 90.49 < .001

2.10.6 Let’s see what these new models look like:

Show R code
iris_plot2 <-
  iris |>
  mutate(
    predlm2 = predict(iris_lm2)
  ) |>
  arrange(X) |>
  ggplot(aes(x = X, y = Sepal.Length)) +
  geom_point(alpha = .1) +
  geom_line(aes(y = predlm2), col = "red") +
  geom_abline(
    intercept = coef(iris_lm1)[1],
    slope = coef(iris_lm1)[2]
  ) +
  theme_bw(base_size = 18)

print(iris_plot2)
Figure 2.33

2.10.7 Let’s see how R did that:

Show R code
formula(iris_lm2)
#> Sepal.Length ~ Species
model.matrix(iris_lm2) |>
  as_tibble() |>
  unique()
Table 2.22

This format is called a “corner point parametrization” (e.g., in Dobson and Barnett (2018)) or “treatment coding” (e.g., in Dunn and Smyth (2018)).

The default contrasts are controlled by options("contrasts"):

Show R code
options("contrasts")
#> $contrasts
#>         unordered           ordered 
#> "contr.treatment"      "contr.poly"

See ?options for more details.


Show R code
formula(iris_lm2_no_int)
#> Sepal.Length ~ Species - 1
model.matrix(iris_lm2_no_int) |>
  as_tibble() |>
  unique()
Table 2.23

This format is called a “group point parametrization” (e.g., in Dobson and Barnett (2018)).

There are more options; see Dobson and Barnett (2018) §6.4.1 and the codingMatrices package vignette (Venables (2023)).

2.11 Ordinal covariates

(c.f. Dobson and Barnett (2018) §2.4.4)


We can create ordinal variables in R using the ordered() function5.

Example 2.4  

Show R code
url <- paste0(
  "https://regression.ucsf.edu/sites/g/files/tkssra6706/",
  "f/wysiwyg/home/data/hersdata.dta"
)
library(haven)
hers <- read_dta(url)
Show R code
hers |> head()
Table 2.24: HERS dataset

Check out ?codingMatrices::contr.diff


  1. the current version of the first regression course I ever took↩︎

  2. \(M\) is implicitly a deterministic function of \(S\)↩︎

  3. \(F\) is implicitly a deterministic function of \(S\)↩︎

  4. some call this kind of variation “interaction” or “effect modification”, but “act”, “effect”, “modify”, and “by” all suggest causality, which we are not prepared to assess here; let’s try to avoid using causal terms, unless we are constructing a causal model.↩︎

  5. or equivalently, factor(ordered = TRUE)↩︎